Release notes IDEA StatiCa Concrete 7.1

Questo articolo è disponibile in:

Easy and comfortable import of structural members using Wizard

Some of widespread 3D FEA packages do not contain their own module for prestressing and construction stages or their solution is weak and does not cover the needs of the users. Due to the absence or unreliability of the links between those programs and the design tools (an independent programs or excel sheets), the workflow is interrupted and manual data transfer is needed at the interfaces. This system is ineffective and highly vulnerable. Significant improvement in completeness of tools for the workflow above is a reliable and seamless link between those programs and IDEA StatiCa Beam.

Types of structures: prestressed/reinforced (non-prestressed) concrete roof and floor girders, prefabricated or cast-in-situ beams (bridge or floor) with composite cast-in-place slab, design strips of PT slabs.

inline image in article

Example of prefabricated prestressed roof girder in Autodesk Robot

inline image in article

Prefabricated prestressed roof girder in IDEA StatiCa after the import from Autodesk Robot

Direct links to the IDEA StatiCa Beam program are currently available from Autodesk Robot, SAP 2000, RFEM, and AxisVM.

The step-by-step specialized wizard allows defining structural member type and setting all necessary data for transfer of geometry, cross-sections, materials, and 3D internal forces from selected loadcases. Additional data such as loads, construction stages, prestressing parameters for time dependent analysis (TDA) can be defined, and code assessment can be performed in IDEA StatiCa.

inline image in article
inline image in article

Design of roof girder in IDEA StatiCa after the import from AxisVM

Value proposition

  • An improvement of workflow in design of prestressed (both prefabricated and cast-in-place) concrete and prestressed concrete members – the user is able to work faster with less susceptibility to errors.
  • An extension in the range of structures – users of other 3D FEA programs are able to analyze and design the members exported from 3D models with respect to constructions stages, changes of boundary conditions, and prestressing.

Summary of links for import from 3D FEA software

For structural design of concrete and prestressed structures the links for transfer of structural models from 3D FEA software into IDEA StatiCa have been extended and improved.

AxisVMMidas CivilScia Engineer
3D model3D model3D model
1D members1D members1D members
2D members2D membersInternal forces
Internal forcesInternal forcesReinforced concrete EC2
Reinforced concrete EC2Construction stagesSteel EC3
Prestressed concrete EC2Reinforced concrete EC2
Steel EC3Prestressed concrete EC2

Steel EC3
RFEMRobot, SAP2000
3D modelMember/joint
1D members1D members
Internal forcesInternal forces
Reinforced concrete EC2

Prestressed concrete EC2

Steel EC3

Non-linear deflections of prestressed beams with the effects of cracks and shrinkage

Some users need to calculate and check the deflection of partially prestressed beams. Even if the requirement for compression reserve (decompression condition) limits the use of partial prestressing, the cracks may appear due to characteristic combination, and would increase the deflection. Therefore the effects of (i) cracks and (ii) tension stiffening have to be respected even in prestressed beams.

inline image in article

Calculation and checks of beam deflections have been improved. The effect of shrinkage was implemented into deflection calculation of both reinforced and prestressed concrete beams with non-symmetrical reinforcement in the cross-section. Now, non-linear deflection of reinforced concrete, pre- and post-tensioned beams can be calculated considering the effect of creep, shrinkage and cracks.

inline image in article
inline image in article

Value proposition

  • An extension of the functionality available in IDEA StatiCa Prestressing, which enables its use for wider range of prestressed concrete members – the user will obtain more complete tool for the design of such structures.

Long-term losses in Tendon designer

Both, long-term and short-term losses can now be displayed in the module for the design of prestressing tendons. All results related to tendon stress losses can be presented graphically and also as tabular data for all sections on the beam member.

inline image in article
inline image in article

Faster loading of cross-section from BIM to RCS application

Speed of data transfer between BIM and RCS application is 20-times higher now.

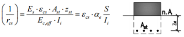
Export of detailed results of stress checks

Detailed results of stress checks in all fibres of concrete cross-sectioncan be exported to Excel file. Therefore the user has the possibility to view all the stresses and strains, and not just the results of critical extremes.

inline image in article

This feature is implemented into RCS module for Stress Limitation and Crack Width results and enables exporting of results as a tabular data (xls document). Geometric scheme of cross-section, stresses and strains for all fibres, and for all combinations are presented for exported data.

inline image in article

Railway bridges checks according to OVS00030-6

In the version 7.1, we implemented additional checks according to Dutch annex and OVS00030-6 for railway bridges (OVS00030-6 Ontwerpvoorschrift, Kunstwerken). The checks are done together with the calculation of the crack width in prestressed cross-section.

inline image in article

Settings in project data in RCS module:

inline image in article

Settings for railway bridges in member data of RCS module:

inline image in article