CBFEM online book - Component-based finite element design of steel connections

Questo articolo è disponibile in:

Naviga

    Introduction 

    As computational tools become increasingly accessible and user-friendly, even for relatively inexperienced engineers, the need for critical evaluation of computational analyses has grown correspondingly. In the field of structural steel design, the finite element analysis (FEA) of structural connections represents the next rapidly advancing step. However, the reliability of such analyses can only be established through a systematic process of verification and validation (V&V). Without rigorous V&V, finite element results lack credibility and cannot serve as a basis for engineering decision-making.

    The present article revisits selected chapters from Component-Based Finite Element Design of Steel Connections by František Wald et al., recalculated using the most recent release of IDEA StatiCa software. In addition, several chapters have been expanded through supplementary examples, thereby enhancing the robustness and accuracy of the verification process. This contribution aims to strengthen the methodological foundations of connection design and provide a more reliable reference for both academic research and engineering practice.

    inline image in article

    Theoretical background

    You can find the description of the CBFEM method in two separate Theoretical background online documents:

    IDEA StatiCa Connection – Structural design of steel connections - general introduction to the CBFEM method and analysis model inside the Connection app.
    Check of steel connection components (EN) - description of the implementation of Eurocode (EN) regarding the required checks.
    IDEA StatiCa Member – Member stability - general introduction to the stability, buckling, and geometrically nonlinear analysis with imperfections (GMNIA) calculation method inside the Member app.


    Welded connections 

    Fillet weld in lap joint

    This article is a selected chapter from book Component-based finite element design of steel connections by prof. Wald et al. The chapter is focused on verification of welds.

    Description

    The object of this chapter is verification of component-based finite element method (CBFEM) of a fillet weld in a lap joint with component method (CM). Two plates are connected in three configurations, namely with a transverse weld, with a longitudinal weld, and a combination of transverse and longitudinal welds. The length and throat thickness of the weld are the changing parameters in the study. The study covers long welds whose resistance is reduced due to stress concentration. The joint is loaded by a normal force.

    Analytical model

    The fillet weld is the only component examined in the study. The welds are designed to be the weakest component in the joint. The weld is designed according to EN 1993-1-8:2005. The design resistance of the fillet weld is determined using the Directional method given in section 4.5.3.2 in EN 1993-1-8:2005. The available calculation methods for checking the strength of fillet welds are based upon simplifying assumption that stresses are uniformly distributed within a throat section of a fillet weld. Uniform distribution of stress is assumed in a throat section of a weld, leading to the normal stresses and shear stresses shown in Fig. 4.1.1, as follows:

    • σ is the normal stress perpendicular to the throat section;
    • σ is the normal stress parallel to the axis of the weld in its cross-section;
    • τ is the shear stress (in the plane of the throat section) perpendicular to the axis of the weld;
    • τ is the shear stress (in the plane of the throat section) parallel to the axis of the weld.

    The normal stress σ parallel to the axis is not considered when verifying the design resistance of a weld.

    inline image in article

    Fig. 4.1.1 Stresses in a throat section of a fillet weld

    The design resistance of the fillet weld will be sufficient if the following are both satisfied:

    \[ \sqrt{\sigma_{\perp}^2 + 3 ( \tau_{\perp}^2 + \tau_{\perp}^2 )} \le \frac{f_u}{\beta_w \gamma_{M2}} \]

    \[ \sigma_{\perp} \le \frac{0.9 f_u}{\gamma_{M2}} \]

    In lap joints longer than 150 a, the reduction factor βLw1 is given by:

    \( \beta_{Lw,1} = 1.2 - \frac{0.2 L_j}{150 a} \)  but   \(\beta_{Lw,1} \le 1.0 \)

    Overview of the considered examples and the material properties is given in Tab. 4.1.1. The weld configurations T is for transverse, P for parallel weld, and TP for a combination of both; see the geometry in Fig. 4.1.2. The sensitivity of two parameters, weld length and effective throat thickness, was investigated.

    Tab. 4.1.1 Overview of examples

    inline image in article
    inline image in article
    inline image in article
    inline image in article
    inline image in article

    Fig 4.1.2 Joint geometry with dimensions: a) Transverse weld b) Parallel weld c) Combination of transverse and parallel weld

    Numerical model

    The weld component in CBFEM is described in Chapter 3.4. Nonlinear elastic-plastic material is used for welds in this study. The limiting plastic strain is reached in the longer part of the weld, and stress peaks are redistributed.

    Verification of resistance

    Design weld resistance calculated by CBFEM is compared with the results of CM. The results are presented in Tab. 4.1.2. The study is performed for two parameters, length of the weld and effective throat thickness, in three weld configurations: for the transverse weld, parallel welds, and a combination of transverse and parallel welds.

    Tab. 4.1.2 Comparison of CBFEM and CM

    inline image in article

    Results of CBFEM and CM are compared, and a sensitivity study is presented. The influence of weld length and effective throat thickness on the design resistance of the transverse weld, parallel welds, and a combination of both welds is shown in Fig. 4.1.3, 4.1.4, and 4.1.5, respectively. The sensitivity study shows good agreement for all weld configurations.

    inline image in article

    Fig. 4.1.3 Parametric study of transverse weld a) Weld length b) Effective throat thickness

    inline image in article

    Fig. 4.1.4 Parametric study of parallel weld a) Weld length b) Effective throat thickness

    inline image in article

    Fig. 4.1.5 Parametric study of a combination of transverse and parallel weld: a) Length of weld a, b) Effective throat thickness of weld a, c) Length of weld b, d) Effective throat thickness of weld b

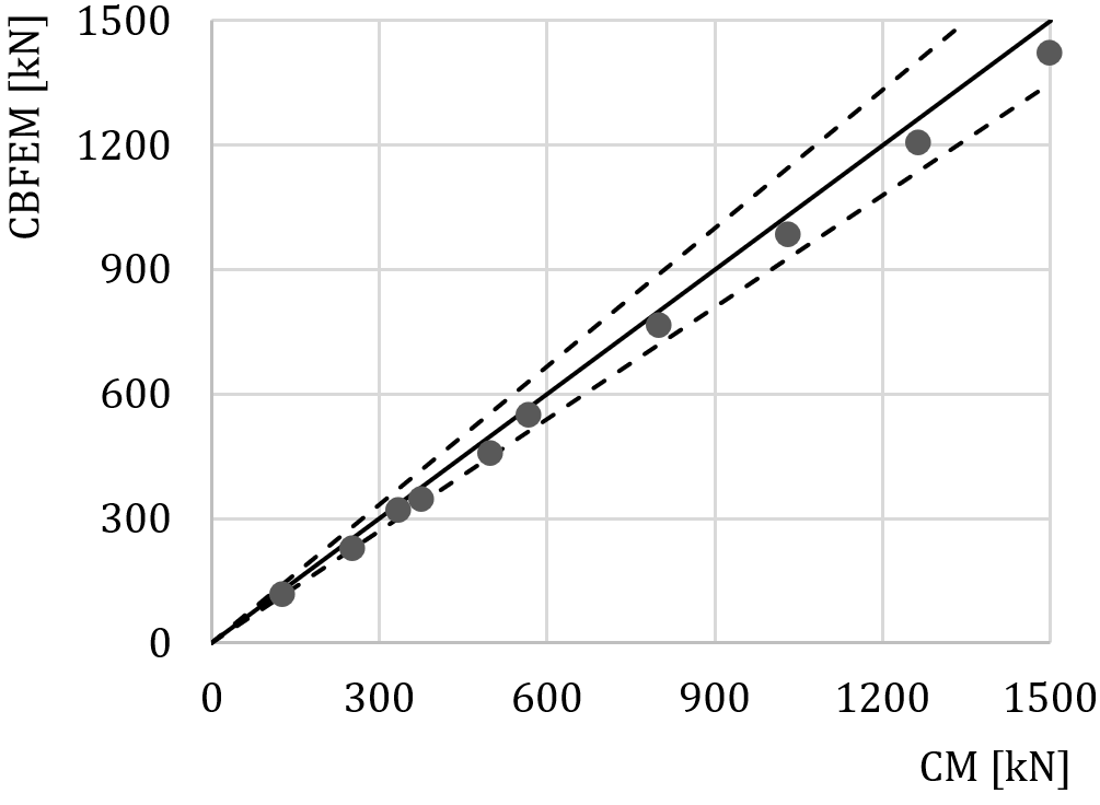
    To illustrate the accuracy of the CBFEM model, the results of the sensitivity study are summarized in a diagram comparing CBFEM and CM design resistance; see Fig. 4.1.6. The results show that the difference between the two calculation methods is in all cases below 10 %.

    inline image in article

    Fig. 4.1.6 Verification of CBFEM to CM

    Benchmark example

    Inputs

    Plate 1

    • Thickness t2 = 20 mm
    • Width b2 = 300 mm
    • Offset ez = −20 mm
    • Steel S235

    Plate 2

    • Thickness t1 = 20 mm
    • Width b1 = 200 mm
    • Steel S235
    • Model type N-Vy-Vz

    Weld, parallel fillet welds see Fig. 4.1.7.

    • Throat thickness ab = 3 mm
    • Weld length Lb = 150 mm

    Output

    • Design resistance in tension FRd = 183 kN
    inline image in article

    Fig. 4.1.7 Benchmark example for the welded lap joint with parallel fillet welds

    File di esempio

    Fillet weld in angle plate joint

    This is a selected chapter from book Component-based finite element design of steel connections by prof. Wald et al. The chapter is focused on verification of welds.

    Description

    In this chapter, the model of the fillet weld in angle plate joint calculated by component-based finite element method (CBFEM) is verified on component method (CM). An angle is welded to a plate and loaded by normal force. The angle size and the length of the weld are studied in a sensitivity study.

    Analytical model

    The fillet weld is the only component examined in the study. The welds are designed according to Chapter 4 in EN 1993-1-8:2005 to be the weakest component in the joint. The design resistance of the fillet weld is described in section 4.1. Overview of considered examples and material is given in Tab. 4.2.1. The geometry of the joints with dimensions is shown in Fig. 4.2.1.

    Tab. 4.2.1 Examples overview

    Example
     Material  Weld a Weld b AnglePlate 
     fyfuEγM0γM2aaLaabLbsectionbptp
     [MPa][MPa][GPa][-][-][mm][mm][mm][mm][-][mm][mm]
    50×L80×1023536021011,2535035080×1024010
    100×L80×1023536021011,253100310080×1024010
    150×L80×1023536021011,253150315080×1024010
    200×L80×1023536021011,253200320080×1024010
    100×L160×1623536021011,2551003100160×1640016
    170×L160×1623536021011,2551703170160×1640016
    240×L160×1623536021011,2552403240160×1640016
    310×L160×1623536021011,2553103310160×1640016
    380×L160×1623536021011,2553803380160×1640016
    450×L160×1623536021011,2554503450160×1640016
    inline image in article

    Fig. 4.2.1 Joint geometry with dimensions

    Numerical model

    The model of the weld in CBFEM is described in section 3.4. The weld model has an elastic-plastic material diagram, and stress peaks are redistributed along the weld length.

    Verification of resistance

    The weld design resistances calculated by CBFEM are compared with the results of CM; see Tab. 4.2.2. Two parameters are studied: the length of the weld and the angle section.

    Tab. 4.2.2 Comparison of CBFEM and CM

    Example Design resistance 
     Example
    Design resistance
     CMCBFEMdiff.  CMCBFEMdiff.
     [kN][kN][%]  [kN][kN][%]
    50×L80×10124120-3 100×L160×16332328-1
    100×L80×10249235-6 170×L160×16565555-2
    150×L80×10374350-7 240×L160×16798773-3
    200×L80×10498457-9 310×L160×161030988-4




     380×L160×1612631206-5




     450×L160×1614961419-5
    inline image in article

    Fig. 4.2.2 Sensitivity study of weld length

    Results of CBFEM and CM are compared, and the sensitivity study is presented. The influence of weld length on the design resistance of a welded angle joint is shown in Fig. 4.2.2. The study shows good agreement for all weld configurations. To illustrate the accuracy of the CBFEM model, the results of the study are summarized in a diagram comparing design resistances by CBFEM and CM; see Fig. 4.2.3. The results show that the difference between the two calculation methods is in all cases less than 10 %.

    inline image in article

    Fig. 4.2.3 Verification of CBFEM to CM

    Benchmark example

    Inputs

    Angle

    • Cross-section 2×L80×10
    • Distance between angles 10 mm

    Plate

    • Thickness tp = 10 mm
    • Width bp  = 240 mm

    Weld, parallel fillet welds, see Fig. 4.2.4

    • Throat thickness aw  = 3 mm
    • Weld length Lw = 200 mm

    Outputs

    • Design resistance in tension FRd = 457 kN
    inline image in article

    Fig. 4.2.4 Benchmark example of the welded angle plate joint with parallel fillet welds

    File di esempio

    Fillet weld in fin plate joint

    This is a selected chapter from book Component-based finite element design of steel connections by prof. Wald et al. The chapter is focused on verification of welds.

    Description

    In this chapter, component-based finite element method (CBFEM) of a fillet weld in a fin plate joint is verified with component method (CM). A fin plate is welded to open section column HEB. The height of the fin plate is changed from 150 to 300 mm. The plate/weld is loaded by normal and shear force and bending moment.

    Analytical model

    The fillet weld is the only component examined in the study. The welds are designed to be the weakest component in the joint according to Chapter 4 in EN 1993-1-8:2005. The design resistance of the fillet weld is described in section 4.1. Overview of considered examples and material is given in Tab. 4.3.1. Three load cases are considered: normal force N, shear force V, and bending moment M. Geometry of the joint with dimensions is shown in Fig. 4.3.1.

    Tab. 4.3.1 Examples overview

    Example  Material  Weld Fin plate Column
     fyfuEγM0γM2awhptpeSection
     [MPa][MPa][GPa][-][-][mm][mm][mm][mm] 
    N15023536021011,25315010200HEB400
    N17523536021011,25317510200HEB400
    N20023536021011,25320010200HEB400
    N22523536021011,25322510200HEB400
    N25023536021011,25325010200HEB400
    N27523536021011,25327510200HEB400
    N30023536021011,25330010200HEB400











    V15023536021011,25315015100HEB200
    V17523536021011,25317515100HEB200
    V20023536021011,25320015100HEB200
    V22523536021011,25322515100HEB200
    V25023536021011,25325015100HEB200
    V27523536021011,25327515100HEB200
    V30023536021011,25330015100HEB200











    M15023536021011,25315015200HEB400
    M17523536021011,25317515200HEB400
    M20023536021011,25320015200HEB400
    M22523536021011,25322515200HEB400
    M25023536021011,25325015200HEB400
    M27523536021011,25327515200HEB400
    M30023536021011,25330015200HEB400
    inline image in article

    Fig. 4.3.1 Joint geometry with dimensions

    Numerical model

    The model of the weld in CBFEM is described in section 3.4. The weld model has an elastic-plastic material diagram, and stress peaks are redistributed along the weld length.

    Verification of resistance

    Design resistance calculated by CBFEM is compared with the results of CM. The comparison is presented in Tab. 4.3.2. The study is performed for one parameter: length of the weld, i.e. height of the fin plate, and three load cases: normal and shear force and bending moment. The shear force is applied in a weld plane to neglect the effect of an additional bending. The bending moment is applied at the end of the fin plate. The influence of the weld length on the design resistance of the fin plate joints loaded by the normal and shear force are shown in Fig. 4.3.2. The relation between the weld length and the bending moment resistance of the joint is shown in Fig. 4.3.3.

    Tab. 4.3.2 Comparison of CBFEM and CM

    Example Design resistance Example Design resistance Example Design resistance 
     CMCBFEMdiff. CMCBFEMdiff. CMCBFEMdiff.
     [kN][kN][%] [kN][kN][%] [kNm][kNm][%]
    N150229226-1V150187186-1M1508,68,5-1
    N175267264-1V175218216-1M17511,611,5-1
    N200305301-1V200249247-1M20015,215,0-1
    N225343338-1V225280278-1M22519,319,0-2
    N250381375-2V2503103090M25023,823,4-2
    N275419412-2V2753423410M27528,828,4-1
    N300457449-2V300374372-1M30034,333,8-2

    The results of CBFEM and CM are compared, and the sensitivity study is presented. The influence of weld length on the design resistance in a fin plate joint loaded by normal force is shown in Fig. 4.3.2, by shear force in Fig. 4.3.3, and by bending moment in Fig. 4.3.4. The study shows good agreement for all applied load cases.

    inline image in article

    Fig. 4.3.2 Parametric study of fin plate joint loaded by normal force

    inline image in article

    Fig. 4.3.3 Parametric study of fin plate joint loaded by shear force

    inline image in article

    Fig. 4.3.4 Parametric study of fin plate joint loaded by bending moment

    To illustrate the accuracy of the CBFEM model, the results of the parametric studies are summarized in a diagram comparing the design resistances of CBFEM and CM; see Fig. 4.3.5. The results show that the difference between the two calculation methods is in all cases less than 10 %.

    inline image in article

    Fig. 4.3.5 Verification of CBFEM to CM

    Benchmark example

    Handcalc

    inline image in article

    Inputs

    Column

    • Steel S235
    • HEB 400

    Fin plate

    • Thickness tp = 15 mm
    • Height hp = 150 mm

    Weld, double fillet weld see Fig. 4.3.6

    • Throat thickness aw = 3 mm

    Outputs

    • Design resistance in pure bending MRd = 8.5 kNm
    • Design resistance in pure shear VRd = 186 kN
    • Design resistance in pure tension NRd = 226 kN
    inline image in article

    Fig. 4.3.6 Benchmark example for the welded fin plate joint

    File di esempio

    Fillet weld in beam to column joint

    This article is a selected chapter from book Component-based finite element design of steel connections by prof. Wald et al. The chapter is focused on verification of welds.

     Description

    The object of this chapter is verification of component based finite element method (CBFEM) for a fillet weld in a stiffened beam-to-column joint with component method (CM). An open section beam IPE is connected to open section column HEB400. The stiffeners are inside column opposite to beam flanges. The beam section is the changing parameter. Three load cases are considered, i.e. the beam is loaded in tension, shear and bending.

     Analytical model

    The fillet weld is the only component examined in the study. The welds are designed according to Chapter 4 in EN 1993-1-8:2005 to be the weakest component in the joint. The design resistance of the fillet weld is described in Section 4.1. Overview of the considered examples and the material are given in the Tab. 4.4.1. A geometry of the joint with dimensions is shown in Fig. 4.4.1.

    Tab. 4.4.1 Examples overview

    inline image in article

    Hand Calculation of normal force N 

    \[\sqrt{  \sigma_{\perp}^2  + 3 \cdot \left( \tau_{\perp}^2  + \tau_{\parallel}^2\right)} \leq \frac{f_u}{\beta_{\mathrm{w}} \cdot \gamma_{\mathrm{M2}}}\]

    \[\sigma_{\perp} = \tau_{\perp} = \frac{\sigma_{N}}{\sqrt{2}} = \frac{N}{l \cdot a}\cdot \frac{1}{\sqrt{2}} \]

    \[    \tau_{\parallel} = 0\]

    \[    \sqrt{ \left( \frac{\sigma_{N}}{\sqrt{2}} \right)^2 + 3 \cdot \left( \frac{\sigma_{N}}{\sqrt{2}} \right)^2} \leq \frac{f_u}{\beta_{\mathrm{w}} \cdot \gamma_{\mathrm{M2}}}\]

    \[    \sqrt{ \left( \frac{N}{l \cdot a}\cdot \frac{1}{\sqrt{2}} \right)^2 + 3 \cdot \left( \frac{N}{l \cdot a}\cdot \frac{1}{\sqrt{2}} \right)^2} \leq \frac{f_u}{\beta_{\mathrm{w}} \cdot \gamma_{\mathrm{M2}}}\]

    \[ N \leq \frac{f_{u}  \cdot  l  \cdot  a }{\beta_{\mathrm{w}}  \cdot  \gamma_{\mathrm{M2}}  \cdot  \sqrt{2}} \]

    Where:

    \(a\) - weld throat thickness

    \(N\) - normal force acting on beam

    \(l\) - total welds length 

    \(\beta_{\mathrm{w}}\) - correlation factor taken from EN 1993-1-8 Table 4.1

    \(f_u\) - nominal ultimate tensile strength of the weaker part joined

    \(\gamma_{\mathrm{M2}}\) - partial safety factor for welds

    Hand Calculation of shear force V 

    The manual calculation presented in this chapter is predicated on certain assumptions. The shear force \(V\) is transmitted exclusively by the weld at the web. The bending moment resulting from the eccentricity of the force acting on the welds can be attributed to the flange welds. The weld section modulus of flange welds \(W\) is determined not by the distance measured from the centre of gravity of the welds, but from the edges of the flange to the beam centre of gravity, as calculated in practice.

    The following equations demonstrate the derivation of the weld load-bearing capacity for shear force and bending moment according to the CM. The equivalent stress is specified in EN 1993-1-8, Equation (4.1). For the calculation of bending moment resistance, the plastic section modulus was assumed. 

    \[\sqrt{  \sigma_{\perp}  + 3 \cdot \left( \tau_{\perp}^2  + \tau_{\parallel}^2\right)} \leq \frac{f_u}{\beta_{\mathrm{w}} \cdot \gamma_{\mathrm{M2}}}\]

    \[V \le \min \left \{ \frac{f_\mathrm{u} \cdot l_V \cdot a}{\sqrt{3} \cdot \beta_{\mathrm{w}} \cdot \gamma_{M2}} , \,  \frac{f_\mathrm{u} \cdot W}{\sqrt{2} \cdot \beta_{\mathrm{w}} \cdot \gamma_{\mathrm{M2}} \cdot e}   \right \} \]

    Where:

    \(e\) - force eccentricity relative to the beam welds 

    \(a\) - weld throat thickness

    \(V\) - shear force acting on beam

    \(W= W_\mathrm{pl,flange}\) - welds section modulus

    \(A_\mathrm{w,top,f} = B \cdot a\) - top flange edge weld area 

    \(A_\mathrm{w,bottom,f} = (B-t_\mathrm{w}) \cdot a\) - bottom flange edge weld area 

    \(z_\mathrm{w,top,f} = H / 2 \) - top flange edge weld lever arm

    \(z_\mathrm{w,bottom,f} = (H - t_\mathrm{f}) / 2 \) - bottom flange edge weld lever arm

    \(W_\mathrm{pl,flange} = 2 \cdot \left(A_\mathrm{w,top,f} \cdot  z_\mathrm{w,top,f} + A_\mathrm{w,bottom,f} \cdot z_\mathrm{w,bottom,f}\right)\) - plastic flange section modulus

    \(l_{\mathrm{V}}\) - total web welds length 

    \(\beta_{\mathrm{w}}\) - correlation factor taken from EN 1993-1-8 Table 4.1

    \(f_\mathrm{u}\) - nominal ultimate tensile strength of the weaker part joined

    \(\gamma_{\mathrm{M2}}\) - partial safety factor for welds

    \(H\) - IPE beam height

    \(B\) - IPE beam width

    \(t_\mathrm{w}\) - IPE beam web thickness 

    \(t_\mathrm{f}\) - IPE beam flange thickness

    Hand Calculation of bending moment M

    In the calculation of bending moment without any interaction with shear force, the plastic section modulus of the whole weld section (both around flanges and around web) was assumed.

    \[\sqrt{ \sigma_{\perp}^2 + 3 \cdot \left( \tau_{\perp}^2 + \tau_{\parallel}^2\right)} \leq \frac{f_u}{\beta_{\mathrm{w}} \cdot \gamma_{\mathrm{M2}}}\]

    \[\sigma_{\perp} = \tau_{\perp} = \frac{\sigma_{N}}{\sqrt{2}} = \frac{M}{W}\cdot \frac{1}{\sqrt{2}} \]

    \[ \tau_{\parallel} = 0\]

    \[ \sqrt{ \left( \frac{\sigma_{N}}{\sqrt{2}} \right)^2 + 3 \cdot \left( \frac{\sigma_{N}}{\sqrt{2}} \right)^2} \leq \frac{f_u}{\beta_{\mathrm{w}} \cdot \gamma_{\mathrm{M2}}}\]

    \[ \sqrt{ \left( \frac{M}{W}\cdot \frac{1}{\sqrt{2}} \right)^2 + 3 \cdot \left( \frac{M}{W}\cdot \frac{1}{\sqrt{2}} \right)^2} \leq \frac{f_u}{\beta_{\mathrm{w}} \cdot \gamma_{\mathrm{M2}}}\]

    \[ M \leq \frac{f_{u} \cdot W }{\beta_{\mathrm{w}}  \cdot  \gamma_{\mathrm{M2}}  \cdot  \sqrt{2}} \]

    \[ \sigma_{\perp} \leq \frac{f_{u}  \cdot  0.9}{ \gamma_{\mathrm{M2}}} \]

    \[ M \leq \frac{f_{u}  \cdot  W  \cdot  0.9  \cdot  \sqrt{2}}{ \gamma_{\mathrm{M2}} }   \]

    Where:

    \(a\) - weld throat thickness

    \(W \) - weld plastic section module

    \(M\) - the bending moment acting on the beam

    \(\beta_{\mathrm{w}}\) - correlation factor taken from EN 1993-1-8 Table 4.1

    \(f_u\) - nominal ultimate tensile strength of the weaker part joined

    \(\gamma_{\mathrm{M2}}\) - partial safety factor for welds

     Numerical model

    The weld component in CBFEM is described in General theoretical background and EN theoretical background

    Nonlinear elastic-plastic material is used for welds in this study. The limit plastic strain is reached in longer part of the weld and stress peaks are redistributed.

    inline image in article

    \[ \textsf{\textit{\footnotesize{Fig. 4.4.1 Joint’s geometry with dimensions}}}\]

     Verification of resistance

    Design resistance calculated by CBFEM Idea RS software is compared with the results of CM. The weld’s design resistances are compared, see Tab. 4.4.2. The study is performed for one parameter beam section and three load cases: normal force NEd, shear force VEd, and bending moment MEd.

    Tab. 4.4.2 Comparison of CBFEM and CM

    inline image in article

    Results of CBFEM and CM are compared and a sensitivity study is presented. The influence of beam cross-section on the design resistance a welded beam-to-column joint loaded in tension is shown in Fig. 4.4.2, in shear in Fig. 4.4.3 and in bending in Fig. 4.4.4. The study shows good agreement for all applied load cases.

    inline image in article

    \[ \textsf{\textit{\footnotesize{Fig. 4.4.2}}}\]

    inline image in article

    \[ \textsf{\textit{\footnotesize{Fig. 4.4.3}}}\]

    inline image in article

    \[ \textsf{\textit{\footnotesize{Fig. 4.4.4}}}\]

    To illustrate the accuracy of the CBFEM model, results of the sensitivity study is summarized in a diagram comparing CBFEM’s and CM’s design resistances, see Fig. 4.4.5. The results show that the difference of the two calculation methods is in all cases less than 10%.

    inline image in article
    inline image in article
    inline image in article

    \[ \textsf{\textit{\footnotesize{Fig. 4.4.5 Verification of CBFEM to CM}}}\]

     Benchmark example

    Inputs

    Column

    • Steel S235
    • HEB 400

    Beam

    •  Steel S235
    •  IPE 160
    •  Force eccentricity to weld x = 400 mm, see Fig. 4.4.6

    Weld

    •   Throat thickness aw = 3 mm

    Outputs:

    • Design resistance in shear VRd = 105 kN
    inline image in article

    \[ \textsf{\textit{\footnotesize{Fig. 4.4.6 Benchmark example of the welded beam to column joint with force eccentricity}}}\]

    File di esempio

    Connection to unstiffened flanges

    This article is a selected chapter from book Component-based finite element design of steel connections by prof. Wald et al. The chapter is focused on verification of welds.

    Description

    In this chapter, component-based finite element method (CBFEM) of a fillet weld connecting a plate to an unstiffened column is verified on component method (CM). The steel plate is connected to the open and box section columns and loaded in tension.

    Analytical model

    The fillet weld is the only component examined in the study. The welds are designed according to Chapter 4 in EN 1993-1-8:2005 to be the weakest component in the joint. The design resistance of the fillet weld is described in Section 4.1. The force applied perpendicular to a flexible plate, which is welded to an unstiffened section, is limited. The stresses are concentrated in an effective width while the weld resistance around the unstiffened parts is neglected, as shown in Fig. 4.5.1. For an unstiffened I or H section the effective width is obtained according to:

    \[ b_\mathrm{eff} = t_\mathrm{w} + 2s + 7kt_\mathrm{f} \qquad (4.5.1)\]                                                                    

    \[ k = \frac{t_\mathrm{f} \cdot f_\mathrm{y,f} }{ t_\mathrm{p} \cdot f_\mathrm{y,p}} \qquad (4.5.2)\]                                                         

    The dimension s is for a rolled section \(s =r\) and for a welded section \(s = \sqrt{2} \cdot a \) . For a box or channel section, the effective width should be obtained from:

    \[ b_\mathrm{eff} = 2t_\mathrm{w} + 5 t_\mathrm{f} \quad \textrm{but}\quad b_\mathrm{eff} \leq 2t_\mathrm{w} + 5 kt_\mathrm{f}\qquad (4.5.1)\] 

    \[\sqrt{  \sigma_{\perp}^2  + 3 \cdot \left( \tau_{\perp}^2  + \tau_{\parallel}^2\right)} \leq \frac{f_u}{\beta_{\mathrm{w}} \cdot \gamma_{\mathrm{M2}}}\]

    \[\sigma_{\perp} = \tau_{\perp} = \frac{\sigma_{N}}{\sqrt{2}} = \frac{N}{b_\mathrm{eff} \cdot a}\cdot \frac{1}{\sqrt{2}} \]

    \[    \tau_{\parallel} = 0\]

    \[    \sqrt{ \left( \frac{\sigma_{N}}{\sqrt{2}} \right)^2 + 3 \cdot \left( \frac{\sigma_{N}}{\sqrt{2}} \right)^2} \leq \frac{f_u}{\beta_{\mathrm{w}} \cdot \gamma_{\mathrm{M2}}}\]

    \[    \sqrt{ \left( \frac{N}{b_\mathrm{eff} \cdot a}\cdot \frac{1}{\sqrt{2}} \right)^2 + 3 \cdot \left( \frac{N}{b_\mathrm{eff}\cdot a}\cdot \frac{1}{\sqrt{2}} \right)^2} \leq \frac{f_u}{\beta_{\mathrm{w}} \cdot \gamma_{\mathrm{M2}}}\]

    \[ N \leq \frac{f_{u}  \cdot  b_\mathrm{eff}  \cdot  a }{\beta_{\mathrm{w}}  \cdot  \gamma_{\mathrm{M2}}  \cdot  \sqrt{2}} \]

    Where:

    \(a\) - weld throat thickness

    \(N\) - normal force acting on beam

    \(b_\mathrm{eff}\) - total effective welds length 

    \(\beta_{\mathrm{w}}\) - correlation factor taken from EN 1993-1-8 Table 4.1

    \(f_u\) - nominal ultimate tensile strength of the weaker part joined

    \(\gamma_{\mathrm{M2}}\) - partial safety factor for welds

    inline image in article

           \[ \textsf{\textit{\footnotesize{Fig. 4.5.1 Effective width of an unstiffened joint (Fig. 4.8 in EN 1993-1-8:2005)}}}\]

    Numerical model

    The weld component in CBFEM is described in General theoretical background and EN theoretical background. The plastic branch is reached in a part of the weld, and stress peaks are redistributed along the weld length.

    Verification of resistance

    Design resistance calculated by CBFEM is compared with the results of CM. The weld design resistance is compared only. Overview of considered examples and material is given in Tab. 4.5.1. Geometry of joints with dimensions is shown in Fig. 4.5.2.

    \[ \textsf{\textit{\footnotesize{Tab. 4.5.1 Examples overview}}}\]

    inline image in article
    inline image in article
    inline image in article
    inline image in article

    \[ \textsf{\textit{\footnotesize{a) Flexible plate to open section             b) Flexible plate to box section}}}\]

    \[ \textsf{\textit{\footnotesize{Fig. 4.5.2 Joint geometry and dimentions}}}\]

    The results are presented in Tab. 4.5.2. The study is performed for two parameters: flange width of the HEB section and web thickness of the box section. The flexible plate is loaded in tension. The influence of the flange width of HEB section on design resistance of a joint is shown in Fig. 4.5.3. The relation between the web thickness of box section on design resistance of a joint is shown in Fig. 4.5.4.

    \[ \textsf{\textit{\footnotesize{Tab. 4.5.2 Comparison of CBFEM and CM}}}\]

    inline image in article

    Results of CBFEM and CM are compared in a sensitivity study. The influence of the flange width of HEB section on design resistance of a joint is studied in Fig. 4.5.3. The influence of the web thickness of box section on design resistance of a joint is presented in Fig. 4.5.4. The parametric studies show very good agreement of the results for all weld configurations.

    inline image in article
    inline image in article

    \[ \textsf{\textit{\footnotesize{Fig. 4.5.3 Flange width of the HEB section      Fig. 4.5.4 Web thickness of the box section}}}\]

    The results of the sensitivity study are summarized in a diagram comparing design resistances of CBFEM and CM; see Fig. 4.5.5 illustrating the accuracy of the CBFEM model.

    inline image in article
    inline image in article

    \[ \textsf{\textit{\footnotesize{Fig. 4.5.5 Verification of CBFEM to CM}}}\]

    The influence of the plate thickness on the design resistance of the weld is shown in Fig. 4.5.6. The column cross-section is HEB 180 with a flange thickness of 14 mm. A weld connecting a plate thicker than the column flange has the same resistance for CM and CBFEM. On the other hand, the weld connecting the plate to column flange of the same or smaller thickness has in numerical models design resistance smaller by 20%. The plate thickness is not taken into account in numerical models with shell elements, which causes the difference.

    inline image in article

    \[ \textsf{\textit{\footnotesize{Fig. 4.5.6 Influence of plate thickness on the resistance of joint with unstiffened column HEB180}}}\]

    Benchmark example

    Inputs

    Column

    • Steel S235

    • RHS 200/200/5

    Flexible plate

    • Steel S235

    • Thickness tp = 17 mm

    • Width bp = 190 mm

    Weld, double fillet welds see Fig. 4.5.7

    • Throat thickness aw = 5 mm

    Outputs

    • Design resistance in tension NRd = 68 kN

    inline image in article

    \[ \textsf{\textit{\footnotesize{Fig. 4.5.7 Benchmark example for the welded connection of plate to unstiffened column}}}\]

    File di esempio

    Bolted connections 

    Bolted connection - T-stub in tension

    This is a selected chapter from book Component-based finite element design of steel connections by prof. Wald et al. The chapter is focused on verification of bolts.

    Description

    The objective of this chapter is verification of component-based finite element method (CBFEM) of T-stubs connected with two bolts loaded in tension with component method (CM) and research FEM model (RM) created in Midas FEA software; see (Gödrich et al. 2019).

    Analytical model

    Welded T-stub and bolt in tension are components examined in the study. Both components are designed according to EN 1993-1-8:2005. The welds are designed not to be the weakest component. Effective lengths for circular and noncircular failures are considered according to EN 1993-1-8:2005 cl. 6.2.6. Only tension loads are considered. Three modes of collapse according to EN 1993-1-8:2005 cl. 6.2.4.1 are considered: 1. mode with full yielding of the flange, 2. mode with two yield lines by web and rupture of the bolts, and 3. mode for rupture of the bolts; see Fig. 5.1.1. Bolts are designed according to cl. 3.6.1 in EN 1993-1-8:2005. Design resistance considers punching shear resistance and rupture of the bolt.

    inline image in article

    Fig. 5.1.1 Collapse modes of T-stub

    Design numerical model

    T-stub is modeled by 4-nodes shell elements as described in Chapter 3 and summarised further. Every node has 6 degrees of freedom. Deformations of the element consist of membrane and flexural contributions. Nonlinear elastic-plastic material status is investigated in each layer of integration point. Assessment is based on the maximum strain given according to EN 1993‑1‑5:2006 by value of 5 %. Bolts are divided into three sub-components. The first is the bolt shank, which is modeled as a nonlinear spring and caries tension only. The second sub-component transmits tensile force into the flanges. The third sub-component solves shear transmission.

    Research numerical model

    In cases where the CBFEM gives higher resistance, initial stiffness, or deformation capacity, research FEM model (RM) from brick elements validated on experiments (Gödrich et al. 2013) is used to verify the CBFEM model. RM is created in Midas FEA software of hexahedral and octahedral solid elements, see Fig. 5.1.2 Mesh sensitivity study was provided to reach proper results in adequate time. Numerical model of the bolts is based on the model by (Wu et al. 2012). The nominal diameter is considered in the shank, and the effective core diameter is considered in the threaded part. Washers are coupled with the head and nut. Deformation caused by stripping of the threads in thread–nut contact area is modeled using interface elements. Interface elements are unable to transfer tensile stresses. Contact elements allowing the transmission of pressure and friction are used between washers and flanges of the T-stub. One-quarter of the sample was modeled using the symmetry.

    inline image in article

    Fig. 5.1.2 Research FEM model

    inline image in article

    Fig. 5.1.3 Geometry of the T-stubs

    Range of validity

    CBFEM was verified for the selected typical T-stub geometries. The minimal thickness of the flange is 8 mm. Maximal distance of the bolts to bolt diameter is limited by p/d≤ 20. The distance of the bolt line to the web is limited to m/d≤ 5. Overview of the considered samples with steel plates of S235: fy = 235 MPa, fu = 360 MPa, E = Ebolt = 210 GPa is shown in the Tab. 5.1.1 and in Fig. 5.1.3.

    Tab. 5.1.1 Overview of the considered samples of T stubs

    Sample    T-stub     Bolts 
     tftwbfawbwe1menDiam.Mat.
     [mm][mm][mm][mm][mm][mm][mm][mm][mm][mm]  
    tf101020300101001655061,1967,567,5M248.8
    tf121220300101001655061,1967,567,5M248.8
    tf151520300101001655061,1967,567,5M248.8
    tf202020300101001655061,1967,567,5M248.8
    tf25252030013,51001655057,2367,567,5M248.8
    tf30302030013,51001655057,2367,567,5M248.8
    tf35352030013,51001655057,2367,567,5M248.8
    tf40402030013,51001655057,2367,567,5M248.8
    tf45452030013,51001655057,2367,567,5M248.8
    tf50502030013,51001655057,2367,567,5M248.8
     











    M16 8.82520300101001655061,1967,567,5M168.8
    M20 8.82520300101001655061,1967,567,5M208.8
    M24 8.82520300101001655061,1967,567,5M248.8
    M27 8.82520300101001655061,1967,567,5M278.8
     











    M24 4.82520300101001655061,1967,567,5M244.8
    M24 5.82520300101001655061,1967,567,5M245.8
    M24 6.82520300101001655061,1967,567,5M246.8
    M24 10.92520300101001655061,1967,567,5M2410.9
                 
    w110202030071001105037,089546,35M248.8
    w150202030071001505057,087571,35M248.8
    w200202030071002005082,085050M248.8
    w2402020300710024050102,13030M248.8
     











    b100202030071001105037,089546,35M2410.9
    b2502020300725011012537,089546,35M2410.9
    b3002020300730011015037,089546,35M2410.9
    b4002020300740011020037,089546,35M2410.9

    Global behavior

    Comparison of the global behavior of the T-stub described by force–deformation diagrams for all design procedures was prepared. Attention was focused on the main characteristics: initial stiffness, design resistance, and deformation capacity. Sample tf20 was chosen to present as a reference; see Fig. 5.1.4 and Tab. 5.1.2. CM generally gives higher initial stiffness compared to CBFEM and RM. In all cases, RM gives the highest design resistance, as shown in chapter 6. Deformation capacity is also compared. Deformation capacity of T-stub was calculated according to (Beg et al. 2004). RM does not consider cracking of the material, so the prediction of deformation capacity is limited.

    inline image in article

    Fig. 5.1.4 Force–deformation diagram

    Tab. 5.1.2 Global behavior overview

     
    CMCBFEMRMCM/CBFEMRM/CBFEM
    Initial stiffness[kN/m]4847271818181974002,671,09
    Design resistance[kNm]174165268,81,051,63
    Deformation capacity[mm]24,56,5-3,77-

    Verification of resistance

    Design resistances calculated by CBFEM were compared with the results of CM and RM in the next step. The comparison was focused on the deformation capacity and determination of the collapse mode too. All results are ordered in Tab. 5.1.3. The study was performed for five parameters: thickness of the flange, bolt size, bolt material, bolt space, and T-stub width.

    Tab. 5.1.3 Global behavior overview

    Sample CM  CBFEM  RM 
     Design res.Collapse modeInitial stiffnessDesign res.Collapse modeInitial stiffnessDesign res.Collapse modeInitial stiffness
     








     [kN] [kN/mm][kN] [kN/mm][kN] [kN/mm]
    Parameter: Thickness of the flange     


    tf1044180,063139,4115153,6
    tf12631134,678158,8144180,9
    tf15981246,6105197,1199,71120,5
    tf201741484,71651181,8268,82197,4
    tf252792789,32381285,7310,32297,8
    tf303052922,62882392,2328,72363
    tf353352968,83202485,4347,32416,8
    tf403712961,33442573,8370,72464,4
    tf454073927,33852654,24002510,6
    tf504073882,44123736,84073553,8
    Parameter: Bolt size     


    M16 8.81522486,61502----
    M20 8.82052612,72002----
    M24 8.82702710,22381----
    M27 8.82781782,42501----
    Parameter: Bolt material     


    M24 4.81642710,21632----
    M24 5.81902710,21862----
    M24 6.82172693,62102----
    M24 10.92731677,82531----
    Parameter: Bolt spacing     


    w11028221129,72621465,13442432,5
    w1501881562,41841229,02812228,0
    w2001291237,81331111,92222112,7
    w2401071131,9109166,1162,7264,9
    Parameter: T-stub width     


    b10031411129,72851463,04072432,2
    b25042321443,54482534,4480,52640,0
    b30043321443,54662534,44862686,0
    b40043321443,54922538,54942721,5
    inline image in article

    Fig. 5.1.5 Sensitivity study of flange thickness

    The sensitivity study of thickness of the flange shows higher resistance according to CBFEM compared to CM for samples with flange thicknesses up to 20 mm. RM gives even higher resistance for these samples; see Fig. 5.1.5. Higher resistance of both numerical models is explained by neglecting membrane effect in CM. In case of the bolt diameter and bolt material (see Fig. 5.1.6 and Fig. 5.1.7, respectively), the results of CBFEM correspond to these of CM. Due to a good agreement of both methods, the results of RM are not required.

    inline image in article

    Fig. 5.1.6 Sensitivity study of the bolt size

    inline image in article

    Fig. 5.1.7 Sensitivity study of the bolt material

    In the case of the bolt distances, the results of CBFEM and CM show generally good agreement; see Fig. 5.1.8. With an increase in bolt spacing, CBFEM gives slightly higher resistance compared to CM. For that reason, the results of RM are also shown. RM gives the highest resistance in all cases.

    inline image in article

    Fig. 5.1.8 Sensitivity study of the bolt distance

    In the study of T-stub width, CBFEM shows higher resistance compared to CM with an increase in width. Results of RM were prepared, which again provide the highest resistance in all cases; see Fig. 5.1.9.

    inline image in article

    Fig. 5.1.9 Sensitivity study of T-stub width

    To show the prediction of the CBFEM model, the results of the studies were summarized in graph comparing resistances by CBFEM and CM; see Fig. 5.1.10. The results show that the difference between the two calculation methods is mostly up to 10 %. In cases with CBFEM/CM > 1,1, accuracy of CBFEM was verified by the results of RM, which gives the highest resistance in all selected cases.

    inline image in article

    Fig. 5.1.10 Summary of verification of CBFEM to CM

    Benchmark example

    Inputs

    T-stub, see Fig. 5.1.11

    • Steel S235
    • Flange thickness tf = 20 mm
    • Web thickness tw = 20 mm
    • Flange width bf = 300 mm
    • Length b = 100 mm
    • Double fillet weld aw = 10 mm

    Bolts

    • 2 × M24 8.8
    • Distance of the bolts w = 165 mm

    Code setup – Model and mesh

    • Number of elements on biggest member or flange 16

    Outputs

    • Design resistance in tension FT,Rd = 161,5 kN
    • Collapse mode – full yielding of the flange with maximal strain 5 %
    • Utilization of the bolts 86,4 %
    • Utilization of the welds 45,7 %
    inline image in article

    Fig. 5.1.11 Benchmark example for the T-stub

    File di esempio

    References

    EN 1993-1-5, Eurocode 3, Design of steel structures – Part 1-5: Plated Structural Elements, CEN, Brussels, 2005.

    EN 1993-1-8, Eurocode 3, Design of steel structures – Part 1-8: Design of joints, CEN, Brussels, 2005.

    Beg D., Zupančič E., Vayas I. On the rotation capacity of moment connections, Journal of Constructional Steel Research, 60 (3–5), 2004, 601–620.

    Gödrich L., Wald F., Sokol Z. To Advanced modelling of end plate joints, Connection and Joints in Steel and Composite Structures, Rzeszow, 2013.

    Gödrich L., Wald F., Kabeláč J., Kuříková M. Design finite element model of a bolted T-stub connection component, Journal of Constructional Steel Research. 2019, (157), 198-206.

    Wu Z., Zhang S., Jiang S. Simulation of tensile bolts in finite element modelling of semi-rigid beam-to-column connections, International Journal of Steel Structures 12 (3), 2012, 339-350.

    Bolted connection - Splices in shear

    This is a selected chapter from book Component-based finite element design of steel connections by prof. Wald et al. The chapter is focused on verification of bolts.

    Description

    This study is focused on the verification of component-based finite element method (CBFEM) for the resistance of the symmetrical double splice bolted connection to an analytical model (AM).

    Analytical model

    The bolt resistance in shear and the plate resistance in bearing are designed according to Tab. 3.4 in chapter 3.6.1 in EN 1993-1-8:2005. For long connection, reduction factor according to cl. 3.8 is considered. Design resistance of connected members with reductions for fastener holes is taken into account according to cl 3.10.

    Verification of resistance

    Design resistances calculated by CBFEM were compared with results of analytical model (AM). Results are summarised in Tab. 5.2.1. The parameters are bolt material, splice thickness, bolt diameter, and bolt distances, see Figs. 5.2.1 to 5.2.4.

    inline image in article

    Fig. 5.2.1 Sensitivity study for the bolt material

    inline image in article

    Fig. 5.2.2 Sensitivity study for the splice thickness

    Tab. 5.2.1 Sensitivity study of resistance

    Joint description: splice 150/10mm, bolts 2×M20 in distances p =70, e1=50, plates 2×150/6mm, steel S235

    Bolt materialAnalytical Model (AM)
     CBFEM
    AM/ CBFEM
      Resistance [kN]Critical component Resistance [kN]Critical component 
    4.8157Bolt in shear152Bolt in shear1,03
    5.8196Bolt in shear188Bolt in shear1,04
    6.8218Bearing214Bearing1,01
    8.8218Bearing218Bearing1,00
    10.9218Bearing218Bearing1,00

    Joint description: splice height 200mm, bolts 3×M16 8,8 in distances p = 55mm e1 = 40mm, plates 2×200/10 mm, steel S235

    Splice thickness Analytical Model (AM)
    CBFEM AM/ CBFEM
      Resistance [kN]Critical componentResistance [kN]Critical component
    4104Bearing104Bearing1,00
    6156Bearing156Bearing1,00
    8208Bearing207Bearing1,00
    10259Bearing258Bearing1,00
    12311Bearing309Bearing1,00
    15362Bolt in shear350Interaction of tension and shear in bolt1,03
    20362Bolt in shear349Interaction of tension and shear in bolt1,04

    Joint description: splice 120/10mm, bolts 2×MX 8,8, plates 2×120/6 mm, steel S235

      Analytical Model (AM)CBFEM AM/ CBFEM
    Diam.DistancesResistance [kN]Critical componentResistance [kN]Critical component 
    M16p = 55, e= 40171Bearing170Bearing1,00
    M20p = 70, e1= 50218Bearing219Bearing1,00
    M24p = 80, e= 60244Splice in tension241Splice in tension1,01
    M27p = 90, e= 70233Splice in tension236Splice in tension0,99
    M30p = 100, e= 75226Splice in tension231Splice in tension0,98

    Joint description: Splice 200/6 mm, bolts 3×M16 8,8, plates 2×200/3mm, steel S235

      Analytical Model (AM)CBFEM AM/ CBFEM
    Bolt spacingResistance [kN]Critical componentResistance [kN]Critical component 
    p = 40, e= 2598Bearing95Bearing1,03
    p = 55, e= 40156Bearing152Bearing1,02
    p = 70, e= 55207Bearing205Bearing1,01
    inline image in article

    Fig. 5.2.3 Sensitivity study for the bolt diameter

    inline image in article

    Fig. 5.2.4 Sensitivity study for the distance of bolts

    The results of sensitivity studies are summarized in the graph in Fig. 5.2.5. The results show that the differences between the two calculation methods are below 5 %. The analytical model gives generally higher resistance.

    inline image in article

    Fig. 5.2.5 Verification of CBFEM to AM for the symmetrical double splice connection

    Benchmark example

    Inputs

    Connected member

    • Steel S235
    • Splice 200/10 mm

    Connectors

    Bolts

    • 3 × M16 8.8
    • Distances e= 40 mm, p = 55 mm

    2 x splice

    • Steel S235
    • Plate 380×200×10

    Outputs

    • Design resistance FRd = 258 kN
    • Critical is bearing of the connected splice
    inline image in article

    Fig. 5.2.6 Benchmark example of the bolted splices in shear

    File di esempio

    End plate minor axis connection

    This is a selected chapter from book Component-based finite element design of steel connections by prof. Wald et al. The chapter is focused on verification of end plate.

    Description

    Component-based finite element method (CBFEM) model of the beam to column joint is verified on Component method (CM). The extended end plate with three bolt rows is connected to column web and loaded by bending moment; see Fig. 5.3.1.

    inline image in article

    Fig. 5.3.1 Joint geometry

    Analytical model

    Three components, which are guiding the behavior, are the end plate in bending, the beam flange in tension and in compression, and the column web in bending. The end plate and the beam flange in tension and in compression are designed according to EN 1993-1-8:2005. The behavior of the column web in bending is predicted according to (Steenhuis et al. 1998). The results of experiments of the beam to column minor axis joints, e.g. (Lima et al. 2009), show good prediction of this type of joint loaded in-plane of a connected beam.

    Numerical model

    Assessment is based on the maximum strain given according to EN 1993-1-5:2006 by the value of 5 %. Detailed information about CBFEM model is summarized in Chapter 3.

    Verification of resistance

    The sensitivity study of the joint resistance was prepared for column cross-sections. Joint geometry is shown in Fig. 5.3.1. In Tab. 5.3.1 and in Fig. 5.3.2, the results of calculations in case of enlarging end plate P18 relatively with the column section are summarized.

    Tab. 5.3.1 Results of prediction of the of end plate minor axis connection for different rafters

    Column HEB2002402803003203403604004505006007008009001000
    CM403531323334363838394248495254
    CBFEM343231323234353938384044444748
    CM/CBFEM1,141,060,971,01,001,001,030,951,001,001,051,091,111,111,13
    inline image in article

    Fig. 5.3.2 Comparison resistance of end plate minor axis connection predicted by CBFEM and CM

    Global behavior

    Global behavior is presented on force-deformation curve. Beam IPE 240 is connected to column HEB 300 with six bolts M16 8.8. End plate geometry is shown in Fig. 5.3.1 and in Tab. 5.3.1. Comparison of both methods results is presented in Fig. 5.3.3 and in Tab.5.3.2. Both methods predict similar design resistance. CBFEM generally gives lower initial stiffness compared to CM.

    inline image in article

    Fig. 5.3.3 Prediction of behavior of end plate minor axis connection on moment rotational curve

    Tab. 5.3.2 Main characteristics for global behavior



    CMCBFEMCM/CBFEM
    Initial stiffness[kNm/rad]801323003,48
    Design resistance[kNm]32321,00
    Deformation capacity[mrad]-34-

    The results of studies are summarized in the graph comparing resistances by CBFEM and component method; see Fig. 5.3.4. The results show that the difference between methods is up to 14 %. CBFEM predicts in all cases lower resistance compared to CM, which is based on simplification in (Steenhuis et al. 1998). Similar results may be observed in work by (Wang and Wang, 2012).

    inline image in article

    Fig. 5.3.4 Summary of verification of CBFEM to CM for the end plate minor axis connection

    Benchmark example

    The benchmark case is prepared for the end plate minor axis connection according to Fig. 5.3.1 with modified geometry as summarized below.

    Inputs

    • Steel S235
    • Column HEB 300
    • Beam IPE 240
    • Bolts 6×M16 8.8
    • Welds thickness 5 mm
    • End-plate thickness tp = 18 mm

    Outputs

    • Design resistance in bending MRd = 32 kNm
    • Governing component – column web in bending

    File di esempio

    References

    EN 1993-1-5, Eurocode 3, Design of steel structures – Part 1-5: Plated Structural Elements, CEN, Brussels, 2005.

    Steenhuis M., Jaspart J. P., Gomes F., Leino T. Application of the component method to steel joints, in Control of the Semi-rigid Behaviour of Civil Engineering Structural Connections Conference, COST C1, Liege, Belgium, 1998, 125-143.

    Wang Z., Wang T. Experiment and finite element analysis for the end plate minor axis connection of semi-rigid steel frames, Tumu Gongcheng Xuebao/China Civil Engineering Journal, 45 (8), 2012, 83-89.

    Bolted connection - Interaction of shear and tension

    This is a selected chapter from book Component-based finite element design of steel connections by prof. Wald et al. The chapter is focused on verification of bolts loaded by a combination of tension and shear.

    Description

    The objective of this chapter is a verification of the component-based finite element method (CBFEM) for the interaction of shear and tension in a bolt to an analytical model (AM). A beam-to-beam joint with end plates and two rows of bolts was selected for verification; see Fig. 5.5.1. The bending stiffness of the joint is high enough to be classified as rigid.

    inline image in article

    Fig. 5.5.1 Joint arrangement of bolted beam-to-beam joint

    Analytical model

    Bolt resistance in interaction of shear and tension is designed according to Tab. 3.4 in chapter 3.6.1 in EN 1993-1-8:2005. A bilinear relation is used. The geometry and the end plate dimensions of the joint are selected to limit the design resistance of the joint by bolt failure. The design resistance of equivalent T-stub in tension is modeled according to Tab. 6.2 in chapter 6.2.4 in EN 1993‑1‑8:2005.

    Verification of resistance

    Parameters of the model are a bolt diameter and a beam dimension; see Figs 5.5.2 to 5.5.5. Dimensions of the end plate and the bolt distances are modified to limit the joint resistance by the bolt failure. The shear and bending resistance of the joint is compared in loading at the bolt failure. The results are summarised in Tab. 5.5.1 and 5.5.2.

    inline image in article

    Fig. 5.5.2 Sensitivity study for resistance in bending with variation of bolt diameter

    inline image in article

    Fig. 5.5.3 Sensitivity study for resistance in bending with variation of beam dimension

    inline image in article

    Fig. 5.5.4 Sensitivity study for resistance in shear with variation of bolt diameter

    inline image in article

    Fig. 5.5.5 Sensitivity study for resistance in shear with variation of beam dimension

    Tab. 5.5.1 Sensitivity study for resistance with variation of bolt diameter

    Parameter  AM CBFEM AM/CBFEM
    Beam;             end plateDiameterDistancesMRd [kNm]VRd [kN]MRd [kNm]VRd [kN]MRd VRd
    IPE270; tp = 30mm; 150×310mmM16/8.8e1 = 60 mm; p1 = 190 mm; w1 = 30mm; w = 90 mm42142411401,021,02
     M20/8.8e1 = 70 mm; p1 = 170 mm; w1 = 50 mm; w = 90 mm63213622091,021,02
    HEA300; tp = 40mm; 300×330mmM24/8.8e1 = 85 mm; p1 = 160 mm; w1 = 75 mm; w = 150 mm95297942941,011,01
     M27/8.8e1 = 95 mm; p1 = 140 mm; w1 = 75 mm; w = 150 mm1223711213681,011,01
     M30/8.8e1 = 95 mm; p1 = 140 mm; w1 = 75 mm; w = 150 mm1455161394821,071,07

    Tab. 5.5.2 Sensitivity study for resistance with variation of the beam dimension

    Parameter

    AMAMCBFEMCBFEMAM/CBFEMAM/CBFEM
    Beam; fin plateDiameterDistancesMRd [kNm]VRd [kN]MRd [kNm]VRd [kN]MRdVRd
    HEA260; tp = 25mm; 260×290mmM20/8.8e1 = 75 mm; p1 = 140 mm; w1 = 65 mm; w = 130 mm57207562051,011,01
    IPE300; tp = 30mm; 150×340mmM20/8.8e1 = 70 mm; p1 = 200 mm; w1 = 35 mm; w = 90 mm71217692121,021,02
    HEB300; tp = 40mm; 300×340mmM27/8.8e1 = 100 mm; p1 = 140 mm; w1 = 75 mm; w = 150 mm1223711223731,001,00
    IPE400; tp = 45mm; 210×460mmM27/8.8e1 = 105 mm; p1 = 250 mm; w1 = 40 mm; w = 130 mm1763991673781,061,06
    IPE500; tp = 45mm; 220×560mmM27/8.8e1 = 105 mm; p1 = 350 mm; w1 = 40 mm; w = 120 mm2264132214031,021,02


    The results of sensitivity studies are summarized in graphs in Fig. 5.5.6 and 5.5.7. The results show that the differences between the two calculation methods are below 10 %. The analytical model gives generally higher resistance.

    inline image in article

    Fig. 5.5.6 Verification of CBFEM to AM for the interaction of shear and tension in bolt in case of loading to bending resistance of a joint

    inline image in article

    Fig. 5.5.7 Verification of CBFEM to AM for the interaction of shear and tension in bolt in case of loading to shear resistance of a joint

    Benchmark example

    Inputs

    Connected members

    • Steel S355
    • Beams HEA300
    • End plate thickness tp = 40 mm
    • End plate dimensions 300 × 330 mm

    Bolts

    • 4 × M24 8.8
    • Distances e1 = 85 mm; p1 = 160 mm; w1 = 75 mm; w = 150 mm

    Outputs

    • Design resistance in bending MRd = 94 kNm
    • Design resistance in shear VRd = 294 kNm
    • Collapse mode is bolt failure in interaction of shear and tension

    File di esempio

    Splices in shear in slip-resistant connection

    This is a selected chapter from book Component-based finite element design of steel connections by prof. Wald et al. The chapter is focused on verification of preloaded bolts.

    Description

    This study is focused on the verification of component-based finite element method (CBFEM) for the resistance of the symmetrical double splice slip-resistant connection to an analytical model (AM).

    Analytical model

    The slip resistance of a preloaded bolt is designed according to chapter 3.9.1 in EN 1993-1-8:2005. The preloading force is taken at 70 % of the ultimate strength of a bolt according to equation (3.7).

    Verification of resistance

    Design resistances calculated by CBFEM are compared with the results of analytical model (AM); see (Wald et al. 2018). The results are summarized in Tab. 5.6.1. The parameter is bolt diameter; see Fig. 5.6.1.

    Tab. 5.6.1 Comparison of bolt resistance predicted by FE model to analytical one for bolt diameter; joint: splice 200/12 mm, bolts 2 × M× 8.8, plates 2 × 200/20 mm, steel S235

    Parameter Analytical Model (AM)CBFEM AM/ CBFEM
    Diam.DistancesResist. [kN]Critical componentResist. [kN]Critical component 
    M16p = 55 e= 40211Slip205Slip1,03
    M20p = 70 e1= 50329Slip320Slip1,03
    M24p = 80 e= 60474Slip457Slip1,04
    M27p = 90 e= 70617Slip594Slip1,04
    M30p = 100 e1 = 75754Slip727Slip1,04
    inline image in article

    Fig. 5.6.1 Sensitivity study for the bolt diameter

    The results of sensitivity studies are summarized in the graph in Fig. 5.6.2. The results show that the differences between the two calculation methods are below 5 %. Analytical model gives generally higher resistance.

    inline image in article

    Fig. 5.6.2 Verification of CBFEM to AM for the slip-resistant double splice connection

    Benchmark example

    Inputs

    Connected member

    • Steel S235
    • Splice 200×12 mm

    Connectors

    Bolts

    • 3 × M20 8.8
    • Distances e= 50 mm, p = 70 mm

    Two splices

    • Steel S235
    • Plate 480×200×20 mm

    Code setup

    • Friction coefficient in slip-resistance 0.5

    Outputs

    • Design resistance FRd = 320 kN
    • Design failure mode is slip of the bolts
    inline image in article

    Fig. 5.6.3 Benchmark example of the bolted splices in shear

    File di esempio

    Block shear resistance

    This is a selected chapter from book Component-based finite element design of steel connections by prof. Wald et al. The chapter is focused on verification of component-based finite element method (CBFEM) for the resistance of block shear resistance of bolted connection

    Description

    This chapter is focused on the verification of component-based finite element method (CBFEM) for the resistance of block shear resistance of bolted connection loaded in shear to the validated research-oriented finite element model (ROFEM) and major analytical models (AM).

    Analytical model

    There are several analytical models for block shear resistance of bolted connection. The models from codes EN 1993-1-8:2005, EN 1993-1-8:2020, AISC 360-10, and CSA S16-9 are investigated. Furthermore, analytical models by Driver et al. (2005) and Topkaya et al. (2004) are used in comparison.

    \[V_{\mathrm{eff,1,Rd}} = \frac{f_\mathrm{u} A_\mathrm{nt}}{\gamma_\mathrm{M2}} + \left(\frac{1}{\sqrt{3}}\right)\frac{f_\mathrm{y} A_\mathrm{nv}}{\gamma_\mathrm{M0}}\]

    \[V_{\mathrm{eff,2,Rd}} = 0.5 \cdot \frac{f_\mathrm{u} A_\mathrm{nt}}{\gamma_\mathrm{M2}} + \left(\frac{1}{\sqrt{3}}\right) \frac{f_\mathrm{y} A_\mathrm{nv}}{\gamma_\mathrm{M0}}\]

    \[V_{\mathrm{eff,1,Rd}} =\left[A_\mathrm{nt} f_\mathrm{u} + \min \left(\frac{A_\mathrm{gv} \cdot f_\mathrm{y}}{\sqrt{3}} \; ; \;\frac{A_\mathrm{nv} f_\mathrm{u}}{\sqrt{3}}\right)\right] \bigg/ \gamma_\mathrm{M2}\]

    \[V_{\mathrm{eff,2,Rd}} =\left[0.5 A_\mathrm{nt} f_\mathrm{u} + \min \left(\frac{A_\mathrm{gv} \cdot f_\mathrm{y}}{\sqrt{3}}\;;\;\frac{A_\mathrm{nv} f_\mathrm{u}}{\sqrt{3}}\right)\right] \bigg/ \gamma_\mathrm{M2}\]

    \[\varphi R_\mathrm{n} =\varphi \left(0.6 f_u A_\mathrm{nv} + U_\mathrm{bs} f_\mathrm{u} A_\mathrm{nt}\right)\leq 0.6 f_\mathrm{y} A_\mathrm{gv} + U_\mathrm{bs} f_\mathrm{u} A_\mathrm{nt}\]

    \[T_\mathrm{r} =\varphi_\mathrm{u} \left[U_t A_\mathrm{nt} f_\mathrm{u} + 0.6 A_\mathrm{gv} \frac{f_\mathrm{y} + f_\mathrm{u}}{2} \right]\]

    where:

    \(f_\mathrm{y}\) - yield strength

    \(f_\mathrm{u}\) - ultimate strength

    \(\gamma_{\mathrm{M2}}\),  \(\varphi_\mathrm{u}\), \(\varphi\) - safety factors

    For \(A_\mathrm{nt}\), \(A_\mathrm{nv}\), \(A_\mathrm{gv}\) see Fig. 5.6.1.

    inline image in article

    \[ \textsf{\textit{\footnotesize{Fig. 5.6.1 Failure planes during the block shear failure}}}\]

    Validation and verification of resistance

    The experiments by Huns et al. (2002) are used for validation of ROFEM created by Sekal (2019) in ANSYS software, see Fig. 5.6.2. True stress-strain material diagram is used. Only the thinnest plate meant to fail are modeled. Bolts are simplified as only bearing displacements on the half-circle of the bolt hole. The displacements in all holes are coupled. The ROFEM model shows very good agreement with the test results.

    inline image in article

    \[ \textsf{\textit{\footnotesize{Fig. 5.6.2 ROFEM with fine mesh of the specimens tested by Huns et al. (Sekal, 2019)}}}\]

    Design-oriented CBFEM model uses shell elements with rather coarse mesh. The mesh is predefined near bolt holes. Bolts are modeled as nonlinear springs which are connected to the nodes at the edges of the bolt’s holes by links. The bilinear material diagram with negligible strain-hardening is used for plates. The limit resistance of a group of bolts in bearing is determined when the plastic strain at the plate reaches 5 % (EN 1993-1-5: 2005). The bearing and hole tear-out resistances of each individual bolt are checked by formulas in appropriate code.

    inline image in article

    \[ \textsf{\textit{\footnotesize{Fig. 5.6.3 Comparison of specimen T2 tested by Huns et al. (Sekal, 2019)}}}\]

    The comparison of ROFEM, CBFEM, and analytical models is shown in Fig. 5.6.3. The most conservative is the model in EN 1993-1-8: 2005 because, unlike other models, it uses the net shear plane in combination with yield strength. Yielding in the gross shear plane is observed in experiments and numerical models. In the next generation of prEN 1993-1-8:2022, the formula for block shear resistance will be changed. The stiffness of CBFEM model is lower compared to ROFEM. In the experiments, the holes were drilled with the same diameter as bolts, so there was no initial slip. The ROFEM model also disregards any slip, but in CBFEM, the shear model of bolts is approximated with the assumption of the regular bolt holes.

    Sensitivity study

    Specimen T1 was used for the study how bolt pitch, Fig. 5.6.4, and plate thickness, Fig. 5.6.6, affects the block shear resistance. The models provide expected results. Tables 5.6.1 and 5.6.2 show examples overview. Drawing 5.6.1 shows joint geometry ang dimensions. Results of verification are shown in Tables 5.6.3 and 5.6.4 and in Fig. 5.6.5. , Fig. 5.6.7.

    Table 5.6.1 Examples overview. Effect of bolt pitch

    inline image in article

    Table 5.6.2 Examples overview. Effect of plate thickness

    inline image in article
    inline image in article

    \[ \textsf{\textit{\footnotesize{Drawing 5.6.1 Joint geometry and dimensions}}}\]

    Effect of bolt pitch

    Table 5.6.3 Comparison of results of design resistances predicted by CBFEM, EN 1993-1-8 and Fpr EN 1993-1-8. Effect of bolt pitch

    inline image in article
    inline image in article

    \[ \textsf{\textit{\footnotesize{Fig. 5.6.4 Effect of bolt pitch}}}\]

    inline image in article

    \[ \textsf{\textit{\footnotesize{Fig. 5.6.5 Verification of resistance determined by CBFEM to Fpr EN 1993-1-8}}}\]

    Effect of plate thickness

    Table 5.6.4 Comparison of results of design resistances predicted by CBFEM, EN 1993-1-8 and Fpr EN 1993-1-8. Effect of plate thickness

    inline image in article


    inline image in article

    \[ \textsf{\textit{\footnotesize{Fig. 5.6.6 Effect of plate thickness}}}\]

    inline image in article

    \[ \textsf{\textit{\footnotesize{Fig. 5.6.7 Verification of resistance determined by CBFEM to Fpr EN 1993-1-8}}}\]

    Benchmark example

    Inputs

     Member

    • Steel S450
    • Rolled I
    • b = 300mm
    • h = 19mm
    • tf = 7mm
    • tw = 6.2mm

    Plate- bearing member

    • Steel S235
    • b = 400mm
    • t = 4mm

    Bolts

    • 6 × M16 10.9
    • Distances e1 = 38 mm; p1 = 70 mm; p2 = 56 mm

    Outputs

    • Design resistance NRd = 206.1 kN
    • Critical is plastic strain of gusset plate
    inline image in article

    \[ \textsf{\textit{\footnotesize{Fig. 5.6.9 Benchmark example}}}\]


    File di esempio

    End plate connection with four bolts in row

    This is a selected chapter from book Component-based finite element design of steel connections by prof. Wald et al. The chapter is focused on verification of end plate connection with four bolts in row

    Description

    This study is focused on the verification of the component-based finite element method (CBFEM) for the resistance of the end plate connection with four bolts in a row to an analytical model (AM), and a research-oriented finite element model (ROFEM) validated on experiments.

    Analytical model

    The bolt resistance in shear and tension and the plate resistance in bearing and punching shear are designed according to Tab. 3.4, Chapter 3.6.1 in EN 1993-1-8:2006. The equivalent T-stub in tension, according to Chapter 6.2.4, was modified by Jaspart et al. (2010) , see Fig. 5.7.1 and Tab. 5.7.1.

    inline image in article

    \[ \textsf{\textit{\footnotesize{Fig. 5.7.1 Failure modes of T-stub with four bolts in a row: mode 1 (left), mode 2 (middle), mode 3 (right)}}}\]

    Tab. 5.7.1 Failure modes of T-stub with four bolts in a row (Jaspart et al. 2010)

    inline image in article

    In Tab 5.7.1 is 𝐹t,Rd the bolt tensile resistance, 𝑒w=𝑑w/4, 𝑑w is the diameter of the washer, or the width across points of the bolt head or nut, as relevant, 𝑚, 𝑛=𝑒1+𝑒2;⁡𝑛≤1.25𝑚, 𝑛1=𝑒1, 𝑛2=𝑒2;⁡𝑛2≤1,25𝑚+𝑛1 see Fig. 5.8.2, 𝑀pl,1,Rd=0.25𝑙eff,1𝑡f2𝑓y/𝛾M0, 𝑀pl,2,Rd=0.25𝑙eff,2𝑡f2𝑓y/𝛾M0, 𝑙eff is effective length, 𝑡f is the flange thickness, and 𝑓y is the yield strength, see Fig. 5.7.2.

    inline image in article

    \[ \textsf{\textit{\footnotesize{Fig. 5.7.2 T-stub geometry with four bolts in a row}}}\]

    Validation and verification of resistance

    Design resistances calculated by CBFEM were compared with the results of the analytical model (Zakouřil, 2019) and experiments with research-oriented finite element model (Samaan et al. 2017), see Fig. 5.7.3. The results are summarized in Fig. 5.7.4. Bolt grade 8.8 and steel grade S450 were used. The yield and tensile strengths correspond closely to the experimental values, e.g. bolt yield strength is 600 MPa, bolt tensile strength is 800 MPa.

    inline image in article

    \[ \textsf{\textit{\footnotesize{Extended unstiffened end plate labeled ENS}}}\]

    inline image in article

    \[ \textsf{\textit{\footnotesize{Flushed end plate labeled F}}}\]

    inline image in article

    \[ \textsf{\textit{\footnotesize{Extended stiffened end plate labeled EX}}}\]

    \[ \textsf{\textit{\footnotesize{Fig. 5.7.3 Tested specimens}}}\]

    The bending moment resistance determined by CBFEM is usually between resistances determined by the component method and experimentally. Table 5.7.2 shows the comparison between the CM, CBFEM, ROFEM, and experimental resistances for the specimens with end plate thicknesses of 20 mm and 32 mm. Both the component method and CBFEM underestimate the resistance of the specimen with a flushed end plate. 

    Tab. 5.7.2 Comparison between the CM , ROFEM, CBFEM, and Experiment

    inline image in article

    Table 5.7.3 and Fig. 5.7.4 show verification of CBFEM to CM for models ENS with different end plate thickness, bolt diameter, and beam height

    Tab. 5.7.3 Verification CBFEM to CM ENS

    inline image in article
    inline image in article
    inline image in article
    inline image in article

    \[ \textsf{\textit{\footnotesize{Fig. 5.7.4 Verification of CBFEM to CM}}}\]

    The results of sensitivity studies are summarized in plots in Fig. 5.7.5, Fig. 5.7.6, Fig. 5.7.7 

    inline image in article

    \[ \textsf{\textit{\footnotesize{Fig. 5.7.5 Sensitivity study for plate thickness}}}\]

    inline image in article

    \[ \textsf{\textit{\footnotesize{Fig. 5.7.6 Sensitivity study for bolt diameter}}}\]

    inline image in article

    \[ \textsf{\textit{\footnotesize{Fig. 5.7.7 Sensitivity study for beam height}}}\]

    Table 5.7.4 and Fig. 5.7.8 show verification of CBFEM to CM for models F with different end plate thickness and bolt diameter 

    Tab. 5.7.4 Verification CBFEM to CM F

    inline image in article
    inline image in article
    inline image in article

    \[ \textsf{\textit{\footnotesize{Fig. 5.7.8 Verification of CBFEM to CM}}}\]

    The results of sensitivity studies are summarized in plots in Fig. 5.7.9 and 5.7.10

    inline image in article

    \[ \textsf{\textit{\footnotesize{Fig. 5.7.9 Sensitivity study for plate thickness}}}\]

    inline image in article

    \[ \textsf{\textit{\footnotesize{Fig. 5.7.10 Sensitivity study for bolt diameter}}}\]

    Table 5.7.5 and Fig. 5.7.11 show verification of CBFEM to CM for models F with different end plate thickness and bolt diameter 

    Tab. 5.7.5 Verification CBFEM to CM EX

    inline image in article
    inline image in article
    inline image in article

    \[ \textsf{\textit{\footnotesize{Fig. 5.7.11 Verification of CBFEM to CM}}}\]

    The results of sensitivity studies are summarized in plots in Fig. 5.7.12 and 5.7.13. 

    inline image in article

    \[ \textsf{\textit{\footnotesize{Fig. 5.7.12 Sensitivity study for plate thickness}}}\]

    inline image in article

    \[ \textsf{\textit{\footnotesize{Fig. 5.7.13 Sensitivity study for bolt diameter}}}\]

    Benchmark example

    Inputs

    • Steel S450

    Column

    • Rolled I
    • h = 390mm
    • b = 350mm
    • tf = 20mm
    • tw = 12mm
    • r = 27mm

    Column stiffeners

    • ts = 16mm

    Beam

    • Rolled I
    • hb = 340mm
    • bb = 350mm
    • tf = 20mm
    • tw = 12mm
    • r = 27mm

    End plate

    • tp = 20mm
    • bp = 350mm
    • hp= 540mm

    Bolts

    • 4 rows x 4 x M16 8.8
    • Distances e= 50 mm, p1 = 120 mm, p2 = 100mm, e2= 50mm, w1 = 75mm, w2 = 100mm

    Welds

    • aw = 7mm

    Outputs

    • Design resistance FRd = 247 kN
    • Critical components are bolts with forces increased by the prying of the end plate
    inline image in article

    \[ \textsf{\textit{\footnotesize{Fig. 5.7.14 Benchmark example}}}\]


    File di esempio

    Slender plate in compression

    Triangular haunch

    This is a selected chapter from book Component-based finite element design of steel connections by prof. Wald et al. The chapter is focused on verification of slender plate in compression

    Description

    The object of this study is verification of component-based finite element method (CBFEM) for a class 4 triangular haunch without a flange and a class 4 triangular haunch with a flange with reduced stiffness with research FEM model (RFEM) and design FEM model (DFEM).

    Experimental investigation

    Experimental results of six specimens of haunches with and without flanges are presented. Three specimens are without flanges and three specimens are supported by additional flanges. Unstiffened specimens differ in the web thickness tw and the web width bw. Reinforced specimens differ in the web thickness tw, the flange thickness tf, and the flange width bf. The dimensions of specimens are summarized in Tab. 6.1.1. The test set-up for the specimen without a flange is shown in Fig. 6.1.1 (top) and for the specimen with a flange in Fig. 6.1.1 (bottom). Material characteristics of the steel plates are summed up in Tab. 6.1.2.

    inline image in article

    \[ \textsf{\textit{\footnotesize{Fig. 6.1.1 Specimens geometry and test set-up}}}\]

    Tab. 6.1.1 Examples overview

    inline image in article

    Tab. 6.1.2 Material characteristics used in numerical models

    inline image in article

    Research FEM model

    Research FEM model (RFEM) is used to verify the DFEM model and is validated on the experiments. In the numerical model, 4-node quadrilateral shell elements with nodes at their corners are applied, with a maximum side length of 10 mm. Materially and geometrically nonlinear analysis with imperfections (GMNIA) is applied. Equivalent geometric imperfections are derived from the first buckling mode, and the amplitude is set according to Annex C of EN 1993-1-5:2006. Numerical models are shown in Fig. 6.1.2.

    inline image in article

    \[ \textsf{\textit{\footnotesize{Fig. 6.1.2 Research FEM model a) haunch without a flange b) haunch with a flange}}\]

    An example of the comparison of RFEM and experimental test on the load-deflection behavior is shown in Fig. 6.1.3a. The comparison of resistances measured in the experiment and obtained from RFEM is shown in Fig. 6.1.3b. The resistance calculated in the numerical model is displayed on the horizontal axis. The resistance measured in the experimental study is displayed on the vertical axis. It can be seen that a good agreement exists.

    inline image in article

    \[ \textsf{\textit{\footnotesize{Fig. 6.1.3 a) Load-deflection curve of a haunch without a flange b) Experiments’ resistances compared against RFEMs’}}}\]

    The comparisons of the final deformation states between numerical simulations and experimental results are performed at the end of the tests. Fig. 6.1.4 presents the comparison of the deformation of specimens A, B, and D after failure with RFEA. It can be found that good agreements between numerical models and experimental results of the haunches exist in the failure mode. For more details, see (Kurejková and Wald, 2017).

    inline image in article

    \[ \textsf{\textit{\footnotesize{Fig. 6.1.4 Experimental and numerical deflection of specimens A, B and D after failure}}}\]

    Design FEM model

    Design procedure for class 4 cross-sections is described in section 3.10 Local buckling.
    The design procedure is verified on the comparison of DFEM and RFEM models. Both models are created in Dlubal RFEM software. The procedure is applied in CBFEM models; see (Kurejková et al. 2015). The resistance governed by 5% plastic strain is obtained in the first step and followed by linear buckling analysis. The critical component in the buckling analysis is studied. The design resistance is interpolated until the condition ρ∙αult,k = 1 is reached.

    The first buckling mode of a haunch without a flange is shown in Fig. 6.1.5 a). The resistance is assessed according to formula (3.10.2) in section 3.10. The comparison of DFEM’s and RFEM’s resistances is shown in Fig. 6.1.5 b). The resistance calculated in the DFEM is displayed on the horizontal axis. The resistance calculated in RFEM is displayed on the vertical axis. It can be seen that a good agreement exists and the procedure is verified.

    inline image in article

    \[\textsf{\textit{\footnotesize{Fig. 6.1.5 a) First buckling mode of DFEM model b) Comparison of DFEM and RFEM resistances}}}\]

    Global behavior and verification

    Comparison of the global behavior of a haunch without flange described by load-deflection diagrams in DFEM model is prepared. The deflection is measured in the vertical direction in the middle of the specimen. Attention is focused on the main characteristics: design resistance and critical load. Two examples of a haunch without a flange are chosen to present as a reference; see Fig. 6.1.6. The design procedure in DFEM models covers the post-buckling reserve, which is observed in Fig. 6.1.6 a). The critical load Fcr is smaller than the design resistance FDFEM. The post-buckling reserve is observed in cases with very slender plates. The typical diagram is shown in Fig. 6.1.6 b), where the design resistance FDFEM does not reach the critical load Fcr. The load Fult,k refers to resistance by 5 % of plastic strain.

    inline image in article

    \[ \textsf{\textit{\footnotesize{Fig. 6.1.6 a) Load-deflection curve with post-buckling reserve b) Load-deflection curve without post-buckling reserve (Kuříková et al. 2019)}}}\]

    The design procedure in CBFEM models is described in section 3.10 Local buckling. The buckling analysis is implemented in the software. The calculation of the design resistances is done manually according to the design procedure. FCBFEM is interpolated by the user until the formula (2) is equal to 1. A beam-column joint with a haunch without a flange is studied. The thicknesses of beam and column webs are changing in the same way as the thickness of the triangular haunch. The same cross-section is used for beam and column. The geometry of the examples is described in Tab. 6.1.3. The joint is loaded by bending moment.

    Tab. 6.1.3 Examples overview (Kuříková et al. 2019)

    inline image in article

    Verification of resistance

    The design resistance calculated by CBFEM is compared with the results obtained by RFEM. The comparison is focused on the design resistance and critical load. The results are ordered in Tab. 6.1.4. The diagram in Fig. 6.1.7 c) shows the influence of the widener thickness on the resistances and critical loads in the examined examples.
    The results show very good agreement in critical load and design resistance. The post-buckling reserve is observed for beam web and triangular widener with thicknesses of 3 and 4 mm. The CBFEM model of the joint with a haunch with a thickness of 3 mm is shown in Fig. 6.1.7 a). The first buckling mode of the joint is shown in Fig. 6.1.7 b).

    Tab. 6.1.4 Design resistance

    inline image in article
    inline image in article

    \[ \textsf{\textit{\footnotesize{a)}}}\]

    inline image in article

    \[ \textsf{\textit{\footnotesize{b)}}}\]

    inline image in article

    \[ \textsf{\textit{\footnotesize{c)}}}\]

    \[ \textsf{\textit{\footnotesize{Fig. 6.1.7 a)First buckling mode b) CBFEM model c) Influence of hthe widener thickness on resistances and critical loads}}}\]

    Verification studies confirm the accuracy of the CBFEM model for the prediction of a triangular haunch behavior. The results of CBFEM are compared with the results of the RFEM. The design procedure is verified on the RFEM model, which is validated on experiments. All procedures predict similar global behavior of the joint.

    Benchmark example

    Inputs

    Beam and column
    • Steel S355
    • Flange thickness tf = 10 mm
    • Flange width bf = 120 mm
    • Web thickness tw = 3 mm
    • Web height hw = 300 mm

    Triangular haunch
    • Thickness tw = 3 mm
    • Width bw = 400 mm
    • Height hw = 400 mm

    Calculate
    • Buckling analysis

    Outputs

     • Plastic resistance CBFEM = 138 kNm
    •   Design buckling resistance CBFEM = 41 kNm
    • Critical buckling factor (for  Design buckling resistance CBFEM = 41 kNm) αcr = 0,52
    • Load factor by 5 % plastic strain αult,k = Plastic resistance CBFEM / Design buckling resistance CBFEM = 138 / 41 = 3,40

    inline image in article

    \[ \textsf{\textit{\footnotesize{Fig. 6.1.7 Triangular haunch calculated in the benchmark example}}}\]


    File di esempio

    Column web panel in shear

    This is a selected chapter from book Component-based finite element design of steel connections by prof. Wald et al. The chapter is focused on verification of component column web panel in shear.

    Description

    The objective of this study is verification of component-based finite element method (CBFEM) of a beam-column joint with a class 4 column web with a research FEM model (RFEM) and component method (CM).

    Analytical model

    The component column web panel in shear is described in cl. 6.2.6.1 in EN 1993-1-8:2005. The design method is limited to column web slenderness d / tw69 ε. Webs with higher slenderness are designed according to EN 1993-1-5:2006 cl. 5 and Annex A. The shear resistance is made of shear buckling resistance of the web panel and resistance of the frame made of the flanges and stiffeners surrounding the panel. The buckling resistance of the web panel is based on the shear critical stress

    \[ \tau_{cr} = k_{\tau} \sigma_E \]

    where σE is the Euler critical stress of the plate

    \[ \sigma_E = \frac{\pi^2 E}{12 (1-\nu^2)} \left ( \frac{t_w}{h_w} \right )^2 \]

    The buckling coefficient kτ is obtained in EN 1993-1-5:2006, Annex A.3.

    The slenderness of the web panel is

    \[ \bar{\lambda_w} = 0.76 \sqrt{\frac{f_{yw}}{\tau_{cr}}} \]

    The reduction factor χw may be obtained in EN 1993-1-5:2006 cl. 5.3.

    The shear buckling resistance of the web panel is

    \[ V_{bw,Rd} = \frac{\chi_w f_{yw} h_w t_w}{\sqrt{3} \gamma_{M1}} \]

    The resistance of the frame may be designed according to cl. 6.2.6.1 in EN 1993-1-8:2005.

    Research FEM model

    Research FEM model (RFEM) is used to verify the CBFEM model. In the numerical model, 4-node quadrilateral shell elements with nodes at its corners are applied. Geometrically and materially nonlinear analysis with imperfections (GMNIA) is applied. Equivalent geometric imperfections are derived from the first buckling mode, and the imperfection amplitude is set according to EN 1993-1-5:2006, Annex C. A numerical model is shown in Fig. 6.2.1.

    inline image in article

    Fig. 6.2.1 Research FEM model of a beam-column joint with slender column panel

    Design finite element model

    The design procedure for slender plates is described in section 3.10. The linear buckling analysis is implemented in the software. The calculation of the design resistances is done according to the design procedure. FCBFEM is interpolated by the user until ρ ∙ αult,kM1 is equal to 1.

    A beam-column joint with a slender column web is studied. The height of the beam web is changing; thus, the width of the column web panel is changing. The geometry of the examples is described in Tab. 6.2.1. The joint is loaded by bending moment.


    Tab. 6.2.1 Examples overview

    ExampleColumn flange
    Column web
    BeamMaterial

    bftfhwtwIPE

    [mm][mm][mm][mm]

    IPE400250108204400S235
    IPE500250108204500S235
    IPE600250108204600S235
    inline image in article

    Fig. 6.2.2 Moment-rotation curve of example IPE600 (Kuříková et al. 2019)

    Global behavior and verification

    The global behavior of a beam-column joint with a slender column web described by moment-rotation diagram in CBFEM model is shown in Fig. 6.2.2. Attention is focused on the main characteristics: design resistance and critical load. The diagram is completed with a point where yielding starts and resistance by 5 % plastic strain.

    Verification of resistance

    The design resistance calculated by CBFEM is compared with RFEM and CM. The comparison is focused on the design resistance and critical load. The results are ordered in Tab. 6.2.2. The diagram in Fig. 6.2.3c shows the influence of the width of the column web on the resistances and critical loads in the examined examples.

    Tab. 6.2.2 Design resistances and critical loads of RFEM, CBFEM, and CM

    ExampleMcr  αcr
    M αult,kDifference 
     RFEMCMCBFEMCBFEMRFEMCMCBFEMCBFEMMCBFEM / MRFEMMCBFEM / MCM
     [kNm][kNm][kNm][-][kNm][kNm][kNm][-][%][%]
    IPE4002562753011,5917017718911,111,07
    IPE5002162342441,321772001851,281,050,93
    IPE6001952102151,142002201891,510,950,86

    The results show good agreement in critical load and design resistance. The CBFEM model of the joint with a beam IPE600 is shown in Fig. 6.2.3a. The first buckling mode of the joint is shown in Fig. 6.2.3b.

    inline image in article

    Fig. 6.2.3 a) CBFEM model b) First buckling mode c) Influence of width of column web on resistances and critical loads

    Verification studies confirmed the accuracy of the CBFEM model for the prediction of a column web panel behavior. The results of CBFEM are compared with the results of the RFEM and CM. The design procedure is verified on the RFEM model. Procedures predict similar global behavior of the joint.

    Benchmark example

    Inputs

    Beam

    • Steel S235
    • IPE600

    Column

    • Steel S235
    • Flange thickness tf = 10 mm
    • Flange width bf = 250 mm
    • Web thickness tw = 4 mm
    • Web height hw = 800 mm
    • Section height h = 820 mm
    • Overlap over top of the beam 20 mm

    Web stiffener

    • Steel S235
    • Stiffener thickness tw = 19 mm
    • Stiffener width hw = 250 mm
    • Welds aw,stiff = 7 mm
    • Stiffeners opposite to upper and lower flange

    Code setup – Model and mesh

    • Number of elements on biggest member web or flange 24

    Outputs

    • Load by 5 % plastic strain Mult,k = 285 kNm
    • Design resistance MCBFEM = 189 kNm
    • Critical buckling factor (for M = 189 kNm) αcr = 1,14
    • Load factor by 5 % plastic strain αult,k = Mult,k / MCBFEM = 285/189 = 1,51

    File di esempio

    References

    EN 1993-1-5, Eurocode 3, Design of steel structures – Part 1-5: Plated Structural Elements, CEN, Brussels, 2005.

    EN 1993-1-8, Eurocode 3, Design of steel structures – Part 1-8: Design of joints, CEN, Brussels, 2005.

    Kuříková M., Wald F., Kabeláč J. Design of slender compressed plates in structural steel joints by component based finite element method, in SDSS 2019: International Colloquium on Stability and Ductility of Steel Structures, Prague, 2019.

    Column web stiffener

    This is a selected chapter from book Component-based finite element design of steel connections by prof. Wald et al. The chapter is focused on verification of buckling of column stiffener.

    Description

    The objective of this study is a verification of component-based finite element method (CBFEM) of a class 4 column web stiffener in a beam-to-column joint with a research FEA model (RFEM) created in Dlubal RFEM software and component method (CM).

    Research FEA model

    Research FEA model (RFEM) is used to verify the CBFEM model. In the numerical model, 4-node quadrilateral shell elements with nodes at its corners are applied. Geometrically and materially nonlinear analysis with imperfections (GMNIA) is applied. Equivalent geometric imperfections are derived from the first buckling mode, and the amplitude is set according to Annex C in EN 1993-1-5:2006. The numerical model is shown in Fig. 6.3.1.

    inline image in article

    Fig. 6.3.1 Research FEA model of a beam-to-column joint with slender column web stiffener

    CBFEM

    The design procedure for slender plates is described in section 3.10. The linear buckling analysis is implemented in the software. The calculation of the design resistances is done according to the design procedure. FCBFEM is interpolated by the user until ρ ∙ αult,kM1 is equal to 1. A beam-to-column joint with a slender column web stiffener is studied. The same cross-section is used for the beam and the column. The thickness of the column web stiffener is changing. The geometry of the examples is described in Tab. 6.3.1. The joint is loaded by bending moment.

    Tab. 6.3.1 Examples overview

    ExampleColumn/beam flange Column/beam web StiffenerMaterial
     bftfhwtwts 
     [mm][mm][mm][mm][mm] 
    t340020600123S235
    t440020600124S235
    t540020600125S235
    t640020600126S235

    Global behavior and verification

    The global behavior of a beam-to-column joint with a slender column web stiffener of thickness 3 mm described by moment-rotation diagram in CBFEM model is shown in Fig. 6.3.2. Attention is focused on the main characteristics: design resistance and critical load. The diagram is completed with a point where yielding starts and resistance by 5 % plastic strain.

    inline image in article

    Fig. 6.3.2 Moment-rotation curve of example t3

    Verification of resistance

    The design resistance calculated by CBFEM Idea StatiCa software is compared with RFEM. The comparison is focused on the design resistance and critical load. The results are ordered in Tab. 6.3.2. The diagram in Fig. 6.3.3 c) shows the influence of the thickness of the column web stiffener on the resistances and critical loads in the examined examples.


    Tab. 6.3.2 Design resistances and critical loads of RFEM and CBFEM

    ExampleMcr αcrMRd αult,kDiff.
     RFEMCBFEMCBFEMRFEMCBFEMCBFEMMCBFEM / MRFEM
     [kNm][kNm][-][kNm][kNm][-][%]
    t32602860,942903041,955
    t45115651,334194251,432
    t58749521,745325471,123
    t6134614672,375806191,006

    The results show very good agreement in critical load and design resistance. The CBFEM model of the joint with web stiffener with the thickness of 3 mm is shown in Fig. 6.3.3a. The first buckling mode of the joint is shown in Fig. 6.3.3b.

    inline image in article

    Fig. 6.3.3 a) Geometrical model b) First buckling mode c) Influence of stiffener’s thickness on resistances and critical loads

    Verification studies confirmed the accuracy of the CBFEM model for the prediction of a column web stiffener behavior. The results of CBFEM are compared with the results of the RFEM. All procedures predict similar global behavior of the joint. The difference in design resistance is in all cases below 10%.

    Benchmark example

    Inputs

    Beam

    • Steel S235
    • Flange thickness tf = 20 mm
    • Flange width bf = 400 mm
    • Web thickness tw = 12 mm
    • Web height hw = 600 mm

    Column

    • Steel S235
    • Flange thickness tf = 20 mm
    • Flange width bf = 400 mm
    • Web thickness tw = 12 mm
    • Web height hw = 560 mm
    • Section height h = 600 mm

    Upper column web stiffener

    • Steel S235
    • Stiffener thickness tw = 20 mm
    • Stiffener width hw = 400 mm

    Lower column web stiffener

    • Steel S235
    • Stiffener thickness tw = 3 mm
    • Stiffener width hw = 400 mm

    Code setup – Model and mesh

    • Number of elements on biggest member web or flange 24

    Outputs

    • Load by 5% plastic strain Mult,k = 594 kNm
    • Design resistance MCBFEM = 304 kNm
    • Critical buckling factor (for M = 304 kNm) αcr = 0,94
    • Load factor by 5 % plastic strain αult,k = Mult,k / MCBFEM = 594/304 = 1,95

    File di esempio

    Hollow section joints

    Circular hollow sections

    This is a selected chapter from book Component-based finite element design of steel connections by prof. Wald et al. The chapter is focused on verification of connections of circular hollow sections.

    Failure mode method

    In this chapter, component-based finite element method (CBFEM) for design of uniplanar welded Circular Hollow Sections (CHS) is verified to Failure Mode Method (FMM): T, X, and K-joints. In CBFEM, the design resistance is limited by reaching 5 % of strain or a force corresponding to 3% d0 joint deformation, where d0 is chord diameter. The resistance in FMM is generally determined by peak load or 3% d0 deformation limit, see (Lu et al. 1994). FMM is based on the principle of identifying modes that may cause joint failure. From the practical experience and experiments accomplished during the 70s and 80s, two modes of failure were identified for the CHS joints: chord plastification and chord punching shear. This calculation method is always limited to a probed geometry of joints. This means that different formulas always apply for each geometry. In the following studies, the welds are designed according to EN 1993‑1‑8:2006 not to be the weakest components in the joint.

    Chord plastification

    The design resistance of a CHS chord face can be determined using the method given by FMM model in Ch. 9 of prEN 1993-1-8:2020; see Fig. 7.1.1. The method is also given in ISO/FDIS 14346 and is described in more detail in (Wardenier et al. 2010). The design resistance of the axially loaded welded CHS joint is:

    • for T and Y joint

    \[ N_{1,Rd} = C_f \frac{f_{y0} t_0^2}{\sin{\theta_1}} (2.6+17.7 \beta^2) \gamma^{0.2} Q_f / \gamma_{M5} \]

    • X joint

    \[  N_{1,Rd} = C_f \frac{f_{y0} t_0^2}{\sin{\theta_1}} \left ( \frac{2.6+2.6 \beta}{1-0.7 \beta} \right ) \gamma^{0.15} Q_f / \gamma_{M5} \]

    • and for K gap joint

    \[ N_{1,Rd} = C_f \frac{f_{y0} t_0^2}{\sin{\theta_1}} (1.65+13.2 \beta^{1.6}) \gamma^{0.3} \left [ 1+ \frac{1}{1.2+(g/t_0)^{0.8}} \right ] Q_f / \gamma_{M5} \]

    where:           

    • di – an overall diameter of CHS member i (i = 0, 1, 2 or 3)
    • fyi – yield strength of member i (i = 0, 1, 2 or 3)
    • g – gap between braces of K joint
    • ti – thickness of the wall of CHS member i (i = 0, 1, 2 or 3)
    • \(\theta_i\) – included angle between brace member i and the chord (i =1, 2 or 3)
    • \(\beta\) – ratio of the mean diameter or width of brace members, to that of the chord
    • \(\gamma\) – ratio of a chord width or diameter to twice its wall thickness
    • Qf – chord stress factor
    • Cf – material factor
    • \(\gamma_{M5}\) – partial safety factor for resistance of joints in hollow section lattice girders
    • Ni,Rd – design resistance of a joint expressed in terms of the internal axial force in member i (i = 0, 1, 2 or 3)
    inline image in article

    Fig. 7.1.1 Examined failure mode – chord plastification

    Chord punching shear

    (for \(d_i \le d_0 - 2 t_0\))

    The design resistance of the axially loaded T, Y, X, and K joint of welded circular hollow sections for chord punching shear (Fig. 7.1.2) is:

    \[ N_{1,Rd} = C_f \frac{f_{y0}}{\sqrt{3}} t_0 \pi d_i \frac{1+\sin{\theta_1}}{2 \sin^2{\theta_1}} / \gamma_{M5} \]

    where:

    • di – overall diameter of CHS member i (i = 0,1,2 or 3)
    • ti – thickness of the wall of CHS member i (i = 0,1,2 or 3)
    •  fy,i – yield strength of member i (i = 0,1,2 or 3)
    • \(\theta_i\) – included angle between brace member i and the chord (i = 1,2 or 3)
    • Cf – material factor
    • Ni,Rd – design resistance of a joint expressed in terms of the internal axial force in member i (i = 0, 1, 2 or 3)
    inline image in article

    Fig. 7.1.2 Examined failure mode – chord punching shear

    Chord shear

    (for X joints, only if \(\cos{\theta_1} > \beta\))

    The design resistance of the axially loaded X joint of welded circular hollow sections for chord shear, see Fig. 7.1.3, is:

    \[ N_{1,Rd} = \frac{f_{y0}}{\sqrt{3}} \frac{(2/\pi A_0)}{\sin{\theta_1}} / \gamma_{M5} \]

    where:

    • Ai – area of cross-section i (i = 0,1,2 or 3)
    • fy,i – yield strength of member i (i = 0,1,2 or 3)
    • \(\theta_i\) – included angle between brace member i and the chord (i = 1,2 or 3)
    • Ni,Rd – design resistance of a joint expressed in terms of the internal axial force in member i (i = 0, 1, 2 or 3)
    inline image in article

    Fig. 7.1.3 Examined failure mode - Chord shear

    Range of validity

    CBFEM was verified for typical joints of the welded circular hollow sections. Range of validity for these joints is defined in Table 7.1.8 of prEN 1993-1-8:2020; see Tab 7.1.2. The same range of validity is applied to CBFEM model. Outside the range of validity of FMM, an experiment should be prepared for validation or verification performed for verification according to a validated research model.

    Tab. 7.1.2 Range of validity for method of failure modes

    General\(0.2 \le \frac{d_i}{d_0} \le 1.0 \)\( \theta_i \ge 30^{\circ} \)\(-0.55 \le \frac{e}{d_0} \le 0.25 \)

    \(g \ge t_1+t_2 \)\(f_{yi} \le f_{y0} \)\( t_i \le t_0 \)
    ChordCompressionClass 1 or 2 and \(10 \le d_0 / t_0 \le 50 \) (but for X joints: \( d_0/t_0 \le 40 \))

     Tension\(10 \le d_0 / t_0 \le 50 \) (but for X joints: \( d_0/t_0 \le 40 \))
    CHS bracesCompressionClass 1 or 2 and \(d_i / t_i \le 50\)

    Tension\(d_i / t_i \le 50 \)

    Uniplanar T and Y-CHS joint

    Overview of the considered examples in the study is given in Tab. 7.1.3. Selected cases cover a wide range of joint geometric ratios. Geometry of the joints with dimensions is shown in Fig. 7.1.2. In the selected cases, the joints failed according to the FMM by the chord plastification or punching shear.

    inline image in article

    Fig. 7.1.4 Dimensions of T/Y joint

    Tab. 7.1.3 Examples overview

    ExampleChordBraceAngles
    Material 
     SectionSection\(\theta\)fyfuE
       [°][MPa][MPa][GPa]
    1CHS219.1/5.0CHS48.3/5.090355490210
    2CHS219.1/5.0CHS114.3/6.390355490210
    3CHS219.1/6.3CHS114.3/6.390355490210
    4CHS219.1/10.0CHS60.3/5.090355490210
    5CHS219.1/18.0CHS159/14,090355490210
    6CHS219.1/8.0CHS48.3/5.090355490210

    Verification of resistance

    The results of the method based on FMM are compared with the results of CBFEM. The comparison is focused on the resistance and design failure mode. The results are presented in Tab. 7.1.4.

    The study shows a good agreement for the applied load cases. The results are summarized in a diagram comparing CBFEM’s and FMM’s design resistances; see Fig. 7.1.5. The results show that the difference between the two calculation methods is in all cases less than 14%.

    inline image in article

    Fig. 7.1.5 Verification of CBFEM to FMM for the uniplanar CHS T and Y-joint

    Tab. 7.1.4 Comparison of design resistances for loading in tension/compression: prediction by CBFEM and FMM

     ExampleFMM Mode of failureCBFEMMode of failurediff.
     [kN] [kN] [%]
    156.9Chord plastification60.2Chord plastification5.5
    2122.0Chord plastification117.2Chord plastification4.1
    3185.0Chord plastification193.8Chord plastification4.5
    4225.8Chord plastification240.8Chord plastification6.2
    51842.8Chord punching shear1618.0Chord punching shear13.9
    6132.7Chord plastification142.0Chord plastification6.5

    Benchmark example

    Inputs

    Chord

    • Steel S355
    • Section CHS219.1/5.0

    Brace

    • Steel S355
    • Sections CHS48.3/5.0
    • Angle between the brace member and the chord 90°

    Weld

    • Butt weld around the brace

    Loaded

    • By force to brace in compression

    Mesh size

    • 64 elements along surface of the circular hollow member

    Outputs

    • The design resistance in compression is NRd = 60.2 kN
    • The design failure mode is chord plastification

    File di esempio

    Uniplanar X-CHS joint

    Overview of the considered examples in the study is given in Tab. 7.1.5. Selected cases cover a wide range of joint geometric ratios. Geometry of the joints with dimensions is shown in Fig. 7.1.6. In the selected cases, the joints failed according to the FMM by the chord plastification or punching shear.

    inline image in article

    Fig. 7.1.6 Dimensions of X joint

    Tab. 7.1.5 Examples overview

    ExampleChordBraceAngles
     Material 
     SectionSection\(\theta\)fyfuE
       [°][MPa][MPa][GPa]
    1CHS219.1/6.3CHS60.3/5.090355490210
    2CHS219.1/8.0CHS76.1/5.090355490210
    3CHS219.1/10.0CHS139.7/10.090355490210
    4CHS219.1/12.5CHS114.3/6.390355490210
    5CHS219.1/10.0CHS76.1/5.090355490210
    6CHS219.1/8.0CHS114.3/6.390355490210
    7CHS219.1/6.3CHS48.3/5.060355490210
    8CHS219.1/6.3CHS114.3/6.360355490210
    9CHS219.1/8.0CHS60.3/5.060355490210
    10CHS219.1/10.0CHS114.3/6.360355490210
    11CHS219.1/12.5CHS139.7/10.060355490210
    12CHS219.1/8.0CHS139.7/10.060355490210
    13CHS219.1/6.3CHS48.3/5.030355490210
    14CHS219.1/6.3CHS193.7/16.030355490210
    15CHS219.1/6.3CHS219.1/20.030355490210
    16CHS219.1/8.0CHS76.1/5.030355490210
    17CHS219.1/8.0CHS168.3/12.530355490210
    18CHS219.1/12.5CHS168.3/12.530355490210

    Verification of resistance

    The results of CBFEM are compared with the results of FMM. The comparison is focused on the resistance and design failure mode. The results are presented in Tab. 7.1.6.

    Tab. 7.1.6 Comparison of results of prediction by CBFEM and FMM

    ExampleFMMMode of failureCBFEMMode of failurediff.

    [kN]
    [kN]
    [%]
    188,8Chord plastification93,4Chord plastification5,2
    2155,7Chord plastification152,0Chord plastification2,4
    3390,9Chord plastification395,0Chord plastification1,0
    4478,7Chord plastification461,0Chord plastification3,8
    5235,3Chord plastification219,0Chord plastification7,4
    6209,7Chord plastification219,0Chord plastification4,2
    793,7Chord plastification85,2Chord plastification10,0
    8155,6Chord plastification164,0Chord plastification5,1
    9159,5Chord plastification148,5Chord plastification7,4
    10365,8Chord plastification383,0Chord plastification4,5
    11682,1Chord plastification703,0Chord plastification3,0
    12298,7Chord plastification336,0Chord plastification11,1
    13162,3Chord plastification181,5Chord plastification10,6
    14555,8Chord plastification582,0Chord plastification4,5
    15749,7Chord plastification727,0Chord plastification3,1
    16669,1Chord plastification766,0Chord plastification12,7
    171527,7Chord plastification1578,0Chord plastification3,2

    The study shows a good agreement for most of the applied load cases. The results are summarized in a diagram comparing CBFEM’s and FMM’s design resistances; see Fig. 7.1.7. The results show that the difference between the two calculation methods is in most cases less than 13%. 

    inline image in article

    Fig. 7.1.7 Verification of CBFEM to FMM for the uniplanar CHS T and Y-joint

    Benchmark example

    Inputs

    Chord

    • Steel S355
    • Section CHS219.1/6,3

    Brace

    • Steel S355
    • Sections CHS60,3/5,0
    • Angle between the brace member and the chord 90°

    Weld

    • Butt weld around the brace

    Loaded

    • By force to brace in compression

    Mesh size

    • 64 elements along surface of the circular hollow member

    Outputs

    • The design resistance in compression is NRd = 93,4 kN
    • The design failure mode is chord plastification

    File di esempio

    Uniplanar K-CHS joint

    Overview of the considered examples in the study is given in Tab. 7.1.7. Selected cases cover a wide range of joint geometric ratios. Geometry of the joints with dimensions is shown in Fig. 7.1.8. In the selected cases, the joints failed according to the method based on the failure modes (FMM) by the chord plastification or punching shear.

    Tab. 7.1.7 Examples overview

    ExampleChordBraceGapAngles
    Material 
     SectionSectiong\(\theta\)fyfuE
       [mm][°][MPa][MPa][GPa]
    1CHS219.1/4,5CHS139.7/10,020.160355490210
    2CHS219.1/4,5CHS219.1/20,039.960355490210
    3CHS219.1/5,0CHS88.9/5,09.960355490210
    4CHS219.1/5,0CHS219.1/20,039.960355490210
    5CHS219.1/6,3CHS48.3/5,09.960355490210
    6CHS219.1/6,3CHS60.3/5,09.960355490210
    7CHS219.1/8,0CHS114.3/6,312.560355490210
    8CHS219.1/8,0CHS139.7/10,020.160355490210
    9CHS219.1/6.3CHS114.3/6.312.560355490210
    10CHS219.1/6.3CHS139.7/10,020.160355490210
    inline image in article

    Fig. 7.1.8 Dimensions of K joint

    Verification of resistance

    The results of the method based on failure modes (FMM) are compared with the results of CBFEM. The comparison is focused on the resistance and design failure mode. The results are presented in Tab. 7.1.8 and in Fig. 7.1.9.

    Tab. 7.1.8 Comparison of results of design resistances by CBFEM and FMM

    ExampleFMM Mode of failureCBFEMMode of failurediff.
     [kN] [kN] [%]
    1213.3Chord plastification237.9Chord plastification11.5
    2367.5Chord plastification344Chord plastification6.8
    3165.4Chord plastification170Chord plastification2.7
    4443.6Chord plastification398Chord plastification11.5
    5149.2Chord plastification150.5Chord plastification0.9
    6175.7Chord plastification177.5Chord plastification1
    7501.1Chord plastification469Chord plastification6.8
    8605.6Chord plastification551Chord plastification9.9
    9324.4Chord plastification332Chord plastification2.3
    10392.4Chord plastification363Chord plastification8.1

    The study shows a good agreement for the applied load cases. The results are summarized in a diagram comparing CBFEM’s and FMM’s design resistances; see Fig. 7.1.6. The results show that the difference between the two calculation methods is in all cases less than 12 %.

    inline image in article

    Fig. 7.1.9 Verification of CBFEM to FMM for the uniplanar CHS K-joint

    Benchmark example

    Inputs

    Chord

    • Steel S355
    • Section CHS 219.1/4.5

    Brace

    • Steel S355
    • Sections CHS 139.7/10
    • Angle between the brace member and the chord 60°
    • Gap between braces g = 20.1 mm

    Weld

    • Butt weld around the brace

    Loaded

    • By force to brace in compression

    Mesh size

    • 64 elements along surface of the circular hollow member

    Outputs

    • The design resistance in compression is NRd = 237.9 kN
    • The design failure mode is chord plastification

    File di esempio

    Rectangular hollow sections

    This is a selected chapter from book Component-based finite element design of steel connections by prof. Wald et al. The chapter is focused on verification of joints of rectangular hollow sections.

    Description

    In this chapter, uniplanar welded rectangular, square, hollow sections T, X, and K-joints with gap predicted by CBFEM are verified. Square hollow sections (SHS) brace is welded directly onto an RHS chord without the use of reinforcing plates. The joints are loaded by an axial force. In CBFEM, the design resistance is limited by 5 % of strain or a force corresponding to 0,03b0 joint deformation and in FMM generally by plate out of plane deformation 0,03b0 where b0 is the depth of the RHS chord; see Lu et al. (1994).

    Failure mode method

    In the case of the axially loaded T, Y, X or K-joint with gap of the welded rectangular hollow sections, five failure modes can occur. These are chord face failure, chord plastification, chord side wall failure, chord web failure, chord shear failure, punching shear failure, and brace failure. In this study, chord face failure, brace failure, and punching shear failure are examined for T, Y and X-joint and chord face failure, chord shear failure, brace failure, and punching shear failure are examined for K-joint with gap; see Fig. 7.2.1. The welds designed according to EN 1993-1-8:2005 are not the weakest components in the joint.

    inline image in article

    Fig. 7.2.1 Examined failure modes: a) Chord face failure, b) Chord shear failure, c) Brace failure, and d) Punching shear failure

    Chord face failure

    The design resistance of an RHS chord face is determined by FMM model in section 9.5 of EN 1993‑1-8:2020. The method is also given in the ISO/FDIS 14346 and is described in detail in Wardenier et al. (2010). The design resistance of the axially loaded T, Y or X-joint of welded rectangular hollow sections is

    \[ N_{i,Rd} = C_f \frac{f_{y0} t_0^2}{\sin{\theta_i}} \left ( \frac{2 \eta}{(1-\beta) \sin{\theta_i}} + \frac{4}{\sqrt{1-\beta}} \right ) Q_f / \gamma_{M5} \]

    The design resistance of the axially loaded K-joint with gap of welded rectangular hollow sections is

    \[ N_{i,Rd} = 8.9 C_f \beta \gamma^{0.5} \frac{f_{y,0} t_0^2}{\sin{\theta_i}} Q_f / \gamma_{M5} \]

    where Cf is the material factor, fy0 is the yield stress of the chord, t0 is the wall thickness of the chord, η is the brace height to the chord width ratio, β is the brace width to the chord width ratio, qi is the included angle between the brace member i and the chord (i = 1, 2), Qf is the chord stress function, and γ is the chord slenderness ratio.

    Brace failure

    The design resistance of an RHS chord face can be determined using the method given by FMM model in section 9.5 of EN 1993-1-8:2020. The design resistance of the axially loaded T, Y or X-joint of welded rectangular hollow sections is

    \[ N_{i,Rd} = C_f f_{yi} t_i (2 h_i - 4 t_i + 2 b_{eff} ) / \gamma_{M5} \]

    The design resistance of the axially loaded K-joint with gap of welded rectangular hollow sections is

    \[ N_{i,Rd} = C_f f_{yi} t_i (2 h_i - 4 t_i + b_i + b_{eff} ) / \gamma_{M5} \]

    where Cf is the material factor, fyi is the yield stress of the brace member i (i = 1, 2), ti is the wall thickness of the brace member i, hi is the height of the brace member i, bi is the width of the brace member i, beff is the effective width of the brace member.

    Punching shear

    The design resistance of the axially loaded T, Y or X-joint of welded rectangular hollow sections is

    \[ N_{i,Rd} = C_f \frac{f_{y0} t_0}{\sqrt{3}\sin{\theta_i}} \left( \frac{2h_i}{\sin{\theta_i}} + 2b_{e,p} \right ) / \gamma_{M5} \]

    The design resistance of the axially loaded K-joint with gap of welded rectangular hollow sections is

    \[ N_{i,Rd} = C_f \frac{f_{y0} t_0}{\sqrt{3}\sin{\theta_i}} \left( \frac{2h_i}{\sin{\theta_i}} + b_i+b_{e,p} \right ) / \gamma_{M5} \]

    Where Cf is the material factor, fy0 is the yield stress of the chord, t0 is the wall thickness of the chord, qi is the included angle between the brace member i and the chord (i = 1, 2), hi is the height of the brace member i, bi is the width of the brace member i and be,p is the effective width for punching shear.

    Chord shear failure

    The design resistance of the axially loaded K-joint with gap of welded rectangular hollow sections is

    \[ N_{i,Rd} = \frac{f_{y0}A_{V,0,gap}}{\sqrt{3}\sin{\theta_i}}/\gamma_{M5} \]

    where fy0 is the yield stress of the chord, Av,0,gap is the effective area for chord shear failure, and qi is the included angle between the brace member i and the chord (i = 1, 2).

    Range of validity

    CBFEM was verified for typical T, Y X, and K-joints with gap of the welded rectangular hollow sections. Range of validity for these joints is defined in Table 9.2 of prEN 1993-1-8:2020; see Tab. 7.2.1. The same range of validity is applied to CBFEM model. Outside the range of validity of FMM, an experiment should be prepared for validation or verification performed for verification according to a validated research model.

    Tab. 7.2.1 Range of validity for method of failure modes, Table 9.2 of EN 1993-1-8:2020

    General\(0.2 \le \frac{d_i}{d_0} \le 1.0 \)\( \theta_i \ge 30^{\circ} \)\(\frac{e}{d_0} \le 0.25 \)

    \(g \ge t_1+t_2 \)\(f_{yi} \le f_{y0} \)\( t_i \le t_0 \)
    ChordCompressionClass 1 or 2 and \( d_0 / t_0 \le 50 \) (but for X joints: \( d_0/t_0 \le 40 \))

     Tension\(d_0 / t_0 \le 50 \) (but for X joints: \( d_0/t_0 \le 40 \))
    CHS bracesCompressionClass 1 or 2 and \(b_i / t_i \le 35\) and \(\frac{h_i}{t_i} \le 35 \)

    Tension\(b_i / t_i \le 35\) and \(\frac{h_i}{t_i} \le 35 \)


    7.2.2 Uniplanar T and Y-SHS joint

    An overview of the considered examples is given in Tab. 7.2.2. Selected cases cover a wide range of joint geometric ratios. Geometry of joints with dimensions is shown in Fig. 7.2.2. Selected joints failed according to the method based on FMM by the chord face failure or brace failure.

    Tab. 7.2.2 Examples overview

    ExampleChordBraceAngles
    Material 
     SectionSectionθ1fyfuE
       [°][MPa][MPa][MPa]
    1SHS200/6.3SHS70/8.090275430210
    2SHS200/8.0SHS90/8.090275430210
    3SHS200/12.5SHS120/12.590275430210
    4SHS200/6.3SHS140/12.560275430210
    5SHS200/8.0SHS80/8.060275430210
    6SHS200/10.0SHS120/12.560275430210
    7SHS200/12.5SHS90/8.060275430210
    8SHS200/6.3SHS80/8.030275430210
    9SHS200/8.0SHS150/16.030275430210
    10SHS200/10.0SHS100/10.030275430210
    11SHS200/12.5SHS100/10.030275430210
    inline image in article

    Fig. 7.2.2 Dimensions of T-joint

    Verification of resistance

    The results of FMM are compared with the results of CBFEM. The comparison is focused on the resistance and design failure mode. The results are presented in Tab. 7.2.3.

    Tab. 7.2.3 Comparison of results of design resistances in tension/compression predicted by CBFEM and FMM

    ExampleFMMMode of failureCBFEMMode of failureDiff.
     [kN] [kN] [%]
    165.9Chord face failure66.0Chord face failure0.2
    2123.7Chord face failure117Chord face failure5.7
    3400.7Chord face failure435.5Chord face failure8
    4160Chord face failure168Chord face failure4.8
    5136.2Chord face failure129Chord face failure5.6
    6310.8Chord face failure324Chord face failure4.1
    7361.4Chord face failure332Chord face failure8.9
    8170.9Chord face failure168Chord face failure1.7
    9704Chord face failure738Chord face failure4.6
    10531.1Chord face failure488Chord face failure8.8
    11829.9Chord face failure758Chord face failure9.5

    The study shows a good agreement for the applied load cases. The results are summarized in a diagram comparing design resistances of CBFEM and FMM; see Fig. 7.2.3. The results show that the difference between the two calculation methods is in all cases less than 10 %.

    inline image in article

    Fig. 7.2.3 Verification of resistance determined by CBFEM to FMM for the uniplanar SHS T and Y-joint

    Benchmark example

    Inputs

    Chord

    • Steel S275
    • Section SHS 200×200×6.3

    Brace

    • Steel S275
    • Section SHS 70×70×8.0
    • Angle between the brace member and the chord 90°

    Weld

    • Butt weld

    Mesh size

    • 16 elements on the biggest web of rectangular hollow member

    Loaded

    • By force to brace in compression/tension

    Outputs

    • The design resistance in compression/tension is NRd = 66.0 kN
    • The design failure mode is chord face failure

    File di esempio

    Uniplanar X-SHS joint

    An overview of the considered examples is given in Tab. 7.2.4. Selected cases cover a wide range of joint geometric ratios. The selected joints failed according to the method based on FMM by the chord face failure or brace failure.

    Tab. 7.2.4 Examples overview

    ExampleChordBraceAngles
    Material 
     SectionSectionθfyfuE
       [°][MPa][MPa][MPa]
    1SHS200/6.3SHS140/12.590275430210
    2SHS200/8.0SHS70/8.090275430210
    3SHS200/10.0SHS120/12.590275430210
    4SHS200/12.5SHS90/8.090275430210
    5SHS200/6.3SHS70/8.060275430210
    6SHS200/8.0SHS80/8.060275430210
    7SHS200/10.0SHS150/6.060275430210
    8SHS200/12.5SHS140/12.560275430210
    9SHS200/16.0SHS120/12.560275430210
    10SHS200/6.3SHS80/8.030275430210
    11SHS200/8.0SHS150/16.030275430210
    12SHS200/10.0SHS100/10.030275430210
    13SHS200/16.0SHS90/8.030275430210

    Verification of resistance

    The results of the method based on failure modes (FMM) are compared with the results of CBFEM. The comparison is focused on the resistance and design failure mode; see Tab. 7.2.5.

    Tab. 7.2.5 Comparison of results of prediction of resistance by CBFEM and FMM

    ExampleFMMode of failureCBFEMMode of failureDiff.
     [kN] [kN] [%]
    1130.6Chord face failure137.6Chord face failure5.4
    2106.3Chord face failure94Chord face failure13.1
    3256.4Chord face failure258Chord face failure0.6
    4302.1Chord face failure273Chord face failure10.7
    578.2Chord face failure71.1Chord face failure10
    6136.2Chord face failure121Chord face failure12.6
    7474Chord face failure465Chord face failure1.9
    8629.7Chord face failure648Chord face failure2.8
    9795.7Chord face failure762Chord face failure4.4
    10170.9Chord face failure164Chord face failure4.2
    11704Chord face failure719Chord face failure2.1
    12531.1Chord face failure477Chord face failure11.3
    13721.6Brace failure652Brace failure10.7

    The study shows a good agreement for the applied load cases. The results are summarized in a diagram comparing design resistances of CBFEM and FMM; see Fig. 7.2.4. The results show that the difference between the two calculation methods is in all cases less than 13 %.

    inline image in article

    Fig. 7.2.4 Verification of resistance determined by CBFEM to FMM for the uniplanar SHS X-joint

    Benchmark example

    Inputs

    Chord

    • Steel S275
    • Section SHS 200×200×6,3

    Braces

    • Steel S275
    • Sections SHS 140×140×12,5
    • Angle between the brace members and the chord 90°

    Welds

    • Butt welds

    Mesh size

    • 16 elements on the biggest web of rectangular hollow member

    Loaded

    • By force to brace in compression/tension

    Outputs

    • The design resistance in compression/tension is NRd = 137,6 kN
    • The design failure mode is chord face failure

    File di esempio

    7.2.4 Uniplanar K-SHS joint

    An overview of the considered examples is given in Tab. 7.2.6. Selected cases cover a wide range of joint geometric ratios. The selected joints failed according to the method based on FMM by the chord face failure or brace failure.

    Tab. 7.2.6 Examples overview

    ExampleChordBracesAngles
    Material 
     SectionSectionsθfyfuE
       [°][MPa][MPa][MPa]
    1SHS200/8.0SHS160/16.045275430210
    2SHS200/10.0SHS150/16.045275430210
    3SHS200/10.0SHS160/16.045275430210
    4SHS200/12.5SHS140/12.545275430210
    5SHS200/12.5SHS150/16.045275430210
    6SHS200/12.5SHS160/16.045275430210

    Verification

    The results of CBFEM are compared with the results of FMM. The comparison is focused on the resistance and design failure mode. The results are presented in Tab. 7.2.7.

    Tab. 7.2.7 Comparison of results of prediction of resistances by CBFEM and FMM

    ExampleFMMode of failureCBFEMMode of failurediff
     [kN] [kN] [%]
    1.0626.6Chord face failure645.0Chord face failure2.9
    2.0800.1Chord face failure809.0Chord face failure1.1
    3.0875.6Chord face failure906.0Chord face failure3.4
    4.01070.8Chord face failure984.0Chord face failure8.8
    5.01147.3Chord face failure1126.0Chord face failure1.9
    6.01223.8Chord face failure1352.0Chord face failure9.5

    The study shows a good agreement for the applied load cases. The results are summarized in a diagram comparing design resistances of CBFEM and FMM; see Fig. 7.2.5. The results show that the difference between the two calculation methods is in all cases less than 10%.

    inline image in article

    Fig. 7.2.5 Verification of resistance determined by CBFEM to FMM for the uniplanar SHS K-joint

    Benchmark example

    Inputs

    Chord

    • Steel S275
    • Section SHS 200×200×8,0

    Braces

    • Steel S275
    • Sections SHS 160×160×16,0
    • Angle between the brace members and the chord 45°

    Welds

    • Butt welds

    Mesh size

    • 16 elements on the biggest web of rectangular hollow member

    Loaded

    • By force to brace in compression/tension

    Outputs

    • The design resistance in compression/tension is NRd = 645 kN
    • The design failure mode is chord face failure

    File di esempio

    Plate to circular hollow section

    This is a selected chapter from book Component-based finite element design of steel connections by prof. Wald et al. The chapter is focused on verification of connection of plate to circular hollow section.

    Failure mode method

    Uniplanar welded plate to circular hollow sections T-joints predicted by CBFEM are verified to FMM in this chapter. In CBFEM, the design resistance is limited by reaching 5 % of strain or a force corresponding to 3 % d0 joint deformation, where d0 is chord diameter. The FMM is based on the peak load limit or 3 % d0 deformation limit; see Lu et al. (1994). The welds, designed according to EN 1993‑1‑8:2006, are not the weakest components in the joint.

    Chord plastification

    The design resistance of a CHS chord face is determined using the method given by FMM model in Ch. 9 of prEN 1993-1-8:2020 and in ISO/FDIS 14346; see Fig. 7.3.1. The design resistance of the axially loaded welded plate to CHS joint is:

    T joint

    Transverse

    \[ N_{1,Rd} = 2.5 C_f f_{y0} t_0^2 (1+3 \beta^2) \gamma^{0.35} Q_f / \gamma_{M5} \]

    Longitudinal

    \[ N_{1,Rd} = 7.4 C_f f_{y0} t_0^2 (1+0.4 \eta) Q_f / \gamma_{M5} \]

    X joint

    Transverse

    \[ N_{1,Rd} = 2.1 C_f f_{y0} t_0^2 (1+3 \beta^2) \gamma^{0.25} Q_f / \gamma_{M5} \]

    Longitudinal

    \[ N_{1,Rd} = 3.5 C_f f_{y0} t_0^2 (1+0.4 \eta^2) \gamma^{0.1} Q_f / \gamma_{M5} \]

    where:

    • fy,i – yield strength of member i (i = 0,1,2 or 3)
    • ti – thickness of the wall of CHS member i (i = 0,1,2 or 3)
    • \(\beta\) – ratio of the mean diameter or width of brace members, to that of the chord
    • \(\eta\) – ratio of the brace member depth to the chord diameter or width
    • \(\gamma\) – ratio of a chord width or diameter to twice its wall thickness
    • Qf – chord stress factor
    • Cf – material factor
    • \(\gamma_{M5}\) – partial factor for resistance of joints in hollow section lattice girders
    • Ni,Rd – design resistance of a joint expressed in terms of the internal axial force in member i (i = 0,1,2 or 3)
    inline image in article

    Fig. 7.3.1 Examined failure mode - chord plastification

    Range of validity

    CBFEM was verified for typical joints of the welded circular hollow sections. The range of validity for these joints is defined in Table 7.8 of prEN 1993-1-8:2020; see Tab 7.3.1. The same range of validity is applied to CBFEM model. Outside the range of validity of FMM, an experiment should be prepared for validation or verification performed for verification according to a validated research model.

    Tab. 7.3.1 Range of validity for method of failure modes

    General\(0.2 \le \frac{d_i}{d_0} \le 1.0 \)\( \theta_i \ge 30^{\circ} \)\(-0.55 \le \frac{e}{d_0} \le 0.25 \)

    \(g \ge t_1+t_2 \)\(f_{yi} \le f_{y0} \)\( t_i \le t_0 \)
    ChordCompressionClass 1 or 2 and \(10 \le d_0 / t_0 \le 50 \) (but for X joints: \( d_0/t_0 \le 40 \))

     Tension\(10 \le d_0 / t_0 \le 50 \) (but for X joints: \( d_0/t_0 \le 40 \))
    Transverse plate
    \(0.25\le\beta=b_1/d_0\le1\)
    Longitudinal plate
    \(0.6\le\eta=h_1/d_0\le4 \)

    Validation

    In this chapter, the CBFEM is validated to the FMM models of plate to CHS T-joints described in prEN 1993-1-8:2020. The models are compared against the data from mechanical tests in Tabs 7.3.2–7.3.3 with resistance based on deformation limit. Material and geometric properties of numerical tests are described in (Voth A.P. and Packer A.J., 2010). The experiments out of range of validity are marked in tables by star * and in graph indicated to show the quality of the boundary conditions.

    Tab. 7.3.2 Geometric properties, material properties, and resistances of connections from experiments and FMM models for transverse T-joint

    IDReference

    d0

    [mm]

    t0

    [mm]

    h1

    [mm]

    h1/d0

    [-]

    d0/t0

    [-]

    fy0

    [MPa]

    TPT 1Washio et al. (1970)165,25,2115,60,731,8308,0
    TPT 2Washio et al. (1970)165,25,2148,70,931,8308,0
    TPT 3Washio et al. (1970)139,83,5125,80,939,9343,0
    TPT 4Voth et al. (2012)219,24,5100,30,548,8388,8


    ID

    Nu,exp

    [kN]

    Branch typeNu,exp/(t02·fy0)N1,prEN/(t02·fy0)Nu,exp/N1,prEN
    TPT 1169,4Compression20,3416,251,25
    TPT 2250,5Compression30,0822,581,33
    TPT 3184,8Compression43,9824,451,80
    TPT 4282,5Tension36,0412,452,89


    Tab. 7.3.3 Geometric properties, material properties, and resistances of connections from experiments and FMM models for longitudinal T-joint

    IDReference

    d0

    [mm]

    t0

    [mm]

    h1

    [mm]

    h1/d0

    [-]

    d0/t0

    [-]

    fy0

    [MPa]

    TPL 1Washio et al. (1970)165,25,2165,21,031,8308,0
    TPL 2Washio et al. (1970)165,25,2330,42,031,8308,0
    *TPL 3Voth et al. (2012)219,24,599,90,548,8388,8


    ID

    Nu,exp

    [kN]

    Branch typeNu,exp/(t02·fy0)N1,prEN/(t02·fy0)Nu,exp/N1,prEN
    TPL 1107,6Compression12,9210,361,25
    TPL 2127,4Compression15,3013,321,15
    *TPL 3160,6Tension20,498,752,34
    inline image in article

     Fig. 7.3.2 Validation of FMM to mechanical experiments for transverse T-type plate-to-CHS connections (left) and to longitudinal T-type plate-to-CHS connections (right)

     

    inline image in article

    Fig. 7.3.3 Validation of FMM to mechanical experiments for transverse T-type plate-to-CHS connections (left) and longitudinal T-type plate-to-CHS connections (right)

    The validation shown in Figs 7.3.2 and 7.3.3 demonstrates that differences to experiments are at least 15 % generally to the safe side. The experiments out of the range of validity are included and marked. The results indicate the good quality of the chosen boundary conditions.

    Uniplanar plate T-joint

    An overview of the considered examples in the study is given in the Tab. 7.3.4. Selected cases cover a wide range of joint geometric ratios. Geometry of the joints with dimensions is shown in Fig. 7.3.4. Plate thickness is 15 mm in all cases covered in this study.

    Tab. 7.3.4 Examples overview

    ExampleChordPlate orientationPlate width
    Material 
     Section-b1/h1fyfuE
       [mm][MPa][MPa][GPa]
    1CHS219,1/4,5Transverse80355490210
    2CHS219,1/5,0Transverse80355490210
    3CHS219,1/4,5Longitudinal180355490210
    4CHS219,1/4,5Longitudinal250355490210
    5CHS219,1/4,5Longitudinal380355490210
    6CHS219,1/4,5Longitudinal500355490210
    inline image in article

    Fig. 7.3.4 Dimensions of plate to CHS T joint, transverse (left) and longitudinal (right)

    Verification

    The results of resistance and design failure mode of the FMM are compared with the results of CBFEM in Tab. 7.3.5 and in Fig. 7.3.5.

    Tab. 7.3.5 Verification of prediction of resistances by CBFEM on FMM

    ExampleFMM Mode of failureCBFEMMode of failurediff.
     [kN] [kN] [%]
    176,9Chord plastification77,3Chord plastification0,5
    291,5Chord plastification90,6Chord plastification1,0
    370,7Chord plastification65,2Chord plastification8,4
    477,5Chord plastification71,9Chord plastification7,8
    590,1Chord plastification82,8Chord plastification8,8
    6101,8Chord plastification93,0Chord plastification9,4

    The study shows good agreement for the applied load cases. The results are summarized in a diagram comparing CBFEM’s and FMM’s design resistances; see Fig. 7.3.5. The results show that the difference between the two calculation methods is in all cases less than 7 %.

    inline image in article

    Fig. 7.3.5 Verification of CBFEM to FMM for the uniplanar Plate to CHS T-joint

    Benchmark example

    Inputs

    Chord

    • Steel S355
    • Section CHS219.1/4,5

    Brace

    • Steel S355
    • Plate 80/15 mm
    • Angle between the brace member and the chord 90° (transversal)

    Weld

    • Butt weld around the brace

    Loaded

    • By force to brace in compression

    Mesh size

    • 64 elements along surface of the circular hollow member

    Outputs

    • The design resistance in compression is NRd = 77,3 kN
    • The design failure mode is chord plastification
    inline image in article

    Fig. 7.3.6 Boundary conditions for the uniplanar Plate to CHS T-joint

    File di esempio

    Uniplanar T-joint between RHS brace and H/I chord

    This is a selected chapter from book Component-based finite element design of steel connections by prof. Wald et al. The chapter is focused on verification of connection of plate to circular hollow section.

    Description

    A uniplanar T-joint of a rectangular hollow section brace to an open section chord, which is located in a lattice truss is studied. The RHS brace is welded directly onto the H or I chord, open sections, without use of reinforcing plates. The prediction by component-based finite element method (CBFEM) is verified with the failure modes method (FM) implemented in EN 1993-1-8:2005.


    Analytical model


    Three failure modes occur in the uniplanar T-joint of the welded rectangular hollow sections to the open sections: the local yielding of brace, called brace failure, the chord web failure, and the chord shear. All these failure modes are examined in this study; see Fig. 7.4.1. Welds are designed not to be the weakest component in a joint according to EN 1993-1-8:2005. The elements of lattice trusses are loaded by normal forces and bending moments. A point of action of internal forces of T-joint is described as follows:


    Axially loaded H/I chord

    Normal forces in the chord right and left of a T-joint act in the direction of chord longitudinal axis.

    Diffraction loaded H/I chord


    Bending moments right and left of a T-joint in plane of the T-joint are considered in the chord, and these bending moments rotate around one of the axes in plane of the chord cross-section for rotation in plane of the T-joint.

    Axially loaded RHS brace


    The normal force in the brace of a T-joint acts in the direction of brace longitudinal axis.

    inline image in article

    \[ \textsf{\textit{\footnotesize{Fig. 7.4.1 Major failure modes a) chord web failure, b) chord shear (in case of gap), c) brace failure}}}\]

    The resistance of the chord web is determined using the method given in section 7.6 of the EN 1993-1-8:2005, which is described in (Wardenier et al,. 2010). The stresses from the brace are transferred through the flange of the chord to an effective area of the chord web. This area is located in the chord web at the point where the brace walls cross the chord web. The design axial resistance of the joint is the minimum of the design resistances:

    Chord web failure

    \[N_{\mathrm{i,Rd}} = \frac{f_{\mathrm{y0}} \cdot t_{\mathrm{w}} \cdot b_{\mathrm{w}}}{\sin(\theta_{\mathrm{i}}) \cdot \gamma_{\mathrm{M5}}}\]

    Chord shear

    \[N_{i,\mathrm{Rd}}=\frac{f_\mathrm{y0}\,A_\mathrm{v}}{\sqrt{3}\,\sin\theta_\mathrm{i}\cdot \gamma_{\mathrm{M5}}}\]


    Brace failure

    \[N_{i,\mathrm{Rd}}=2\,f_\mathrm{y1}\,t_\mathrm{1}\,p_{\mathrm{eff}}/\gamma_{\mathrm{M5}}\]

    where

    \[p_{\mathrm{eff}}=t_\mathrm{w}+2r+7\,t_\mathrm{f}\,\frac{f_\mathrm{y0}}{f_\mathrm{y1}}\]

    and \(A_\mathrm{v}\) is the effective shear area.

    The design bending resistance of the joint is the minimum of the design resistances:

    Chord web failure

    \[M_{\mathrm{ip,Rd}} = \frac{0.5 \, f_{\mathrm{y0}} \, t_{\mathrm{w}} \, b_{\mathrm{w}} \, h_1}{\gamma_{\mathrm{M5}}}\]

    Brace failure

    \[M_{\mathrm{ip,Rd}}=f_\mathrm{y1}\,t_\mathrm{1}\,b_{\mathrm{eff}}\,(h_\mathrm{1}-t_\mathrm{1})/\gamma_{\mathrm{M5}}\]

    where

    \[b_{\mathrm{w}} = \frac{h_1}{\sin \theta_{\mathrm{i}}} + 5 \cdot t_{\mathrm{f,0}} + r \;\leq\; 2 \, t_{\mathrm{i}} + 10 \cdot (t_{\mathrm{f,0}} + r)\]

    \[b_{\mathrm{eff}}=t_\mathrm{w}+2r+7\,t_\mathrm{f}\,\frac{f_\mathrm{y0}}{f_\mathrm{y1}}\]

    An overview of the considered examples loaded by axial force is described in Tab. 7.4.1. An overview of the considered examples loaded by bending moment is described in Tab. 7.4.2. A geometry of a joint with dimensions is shown in Fig. 7.4.2.

    inline image in article
    inline image in article

    \[ \textsf{\textit{\footnotesize{Fig. 7.4.2 Joint geometry with dimensions}}}\]

    Tab. 7.4.1 Examples of joints loaded by axial force 

    Tab. 7.4.2 Examples of joints loaded by in-plane moment

    inline image in article

    Verification of resistance

    The study was focused on comparison of the failure models and the prediction of the design resistance. The results are presented in Tab. 7.4.3 and 7.4.4.

    Tab. 7.4.3 Comparison of CBFEM and FM for axial force in brace

    inline image in article


    Tab. 7.4.4 Comparison of CBFEM and FM for in-plane moment in brace

    inline image in article

    The sensitivity study shows good agreement for all applied load cases. In the CBFEM method, the rounding of the wall of open cross-section is simplified, which brings a conservative estimate of the stress in the connected diagonal and the assumption of bearing capacity till 15 %. To illustrate the accuracy of the CBFEM model, the results of the parametric studies are summarized in a diagram comparing design resistances by CBFEM and FM; see Fig. 7.4.3.

    inline image in article
    inline image in article

    \[ \textsf{\textit{\footnotesize{ Fig. 7.4.3 Verification of CBFEM to FM for axial force and bending moment in the brace}}}\]

    Range of validity


    Range of validity, on which is verified CBFEM for T-joints between rectangular hollow section and open section, is defined in Table 7.20 of EN 1993-1-8:2005, see Tab. 7.4.5. In case of application of the CBFEM model outside the range of validity of FM, the validation to experiments or verification to validated research model should be prepared to approve the quality of prediction.

    Tab. 7.4.5 Range of validity of T-joints

    inline image in article

    Benchmark example

    Inputs


    Chord
    • Steel S235
    • IPN280


    Brace
    • Steel S235
    • RHS 140×80×10


    Mesh size
    • 16 elements on the biggest web of rectangular hollow member

    Outputs


    • Design resistance in compression/tension Fc,Rd = 457 kN (It should be noted that the resistance was calculated using the "Stop at limit strain" function. Consequently, the actual CBFEM resistance may be marginally higher.)


    • Collapse mode is chord plastification

    inline image in article

    \[ \textsf{\textit{\footnotesize{Fig. 7.4.4 Benchmark example for chord IPE270 and brace RHS 140×80×10}}}\]


    File di esempio

    Column base

    Column base – Open section column in compression

    This is a selected chapter from book Component-based finite element design of steel connections by prof. Wald et al. The chapter is focused on verification of column base of open section column loaded in compression.

    Description

    In this chapter, the Component-based Finite Element Method (CBFEM) of the column base under the steel open section column loaded in pure compression is verified on the component method (CM). The study is prepared for the column cross-section, dimension of base plate, grade of concrete, and dimensions of concrete block.

    Component method

    Three components are taken into account: column flange and web in compression, concrete in compression including grout, welds. Component column flange and web in compression is described in EN 1993-1-8:2005 Cl. 6.2.6.7. The concrete in compression including grout is modeled according to EN 1993-1-8:2005 Cl. 6.2.6.9 and EN 1992-1-1:2005 Cl. 6.7. Two iterations of effective area are used to determine the resistance.

    The weld is designed around the column cross-section; see EN 1993-1-8:2005 Cl. 4.5.3.2(6). The thickness of the weld on the flanges is selected the same as the thickness of the weld on the web. Shear force is transferred only by welds on the web, and plastic stress distribution is considered.

    Base plate under HEB 240

    This study is focused on the component concrete in compression including grout. An example of calculation is shown below for the concrete block with dimensions a' = 1000 mm, b' = 1500 mm, h = 800 mm from concrete grade C20/25 with base plate with dimensions a = 330 mm, b = 440 mm, t = 20 mm from steel grade S235; see Fig. 8.1.2.

     The joint stength of the concrete is calculated under the effective area in compression around the cross-section; see Fig. 8.1.1, iterating in two steps.

    For 1st step it is:

    \[ f_{jd} = \frac{\beta_j k_j f_{ck}}{\gamma_c} = \frac{0.67 \cdot 2.908 \cdot 20}{1.5} = 26 \textrm{ MPa} \]

    \[ c = t \sqrt{\frac{f_y}{3f_{jd} \gamma_{M0}}} = 20 \sqrt{\frac{235}{3 \cdot 26 \cdot 1.0}} = 35 \textrm{ mm} \]

     \[ l_{eff} = b+2c = 240+2\cdot35=310 \textrm{ mm} \]

     \[ b_{eff} = t_f+2c = 17+2\cdot35=87\textrm{ mm} \]

    and for 2nd step it is:

    \[ f_{jd} = \frac{\beta_j k_j f_{ck}}{\gamma_c} = \frac{0.67 \cdot 3 \cdot 20}{1.5} = 27 \textrm{ MPa} \]

    \[ c = t \sqrt{\frac{f_y}{3f_{jd} \gamma_{M0}}} = 20 \sqrt{\frac{235}{3 \cdot 27 \cdot 1.0}} = 34 \textrm{ mm} \]

     \[ l_{eff} = b+2c = 240+2\cdot35=308 \textrm{ mm} \]

     \[ b_{eff} = t_f+2c = 17+2\cdot35=85\textrm{ mm} \]

    \[A_{eff} = 63463 \textrm{ mm}^2\]

    inline image in article

    Fig. 8.1.1 Effective area under the base plate

    The normal force resistance of the base plate by CM is

    \[N_{Rd} = A_{eff} \cdot f_{jd} = 63436 \cdot 27 = 1701 \textrm{ kN} \]

    The stresses calculated by CBFEM are presented in Fig. 8.1.2. The normal compressive force resistance of the base plate by CBFEM is 1683 kN.

    inline image in article

    Fig. 8.1.2 Geometry of concrete block and normal stresses under baseplate loaded by normal force only

    Sensitivity study

    The results of CBFEM software were compared with the results of the component method. The comparison was focused on the resistance and the critical component. Studied parameters are size of the column, dimensions of the base plate, concrete grade, and dimensions of the concrete pad. The column cross-sections are HEB 200, HEB 300, and HEB 400. The base plate width and length are chosen as 100 mm, 150 mm and 200 mm larger than the column section, the base plate thickness 15 mm, 20 mm, and 25 mm. The concrete block from grade C16/20, C25/30, and C35/45 of height 800 mm with width and length larger than the dimensions of the base plate by 200 mm, 300 mm, and 400 mm. The input parameters are summarized in Tab. 8.1.1. The fillet welds around the column cross-section have the throat thickness a = 8 mm.

    Tab. 8.1.1 Selected parameters

    Column sectionHEB 200HEB 300HEB 400
    Base plate offset100 mm150 mm200 mm
    Base plate thickness15 mm20 mm25 mm
    Concrete gradeC16/20C25/30C35/45
    Concrete pad offset200 mm300 mm400 mm

    The resistances determined by CM are in Tab. 8.1.2. One parameter was changed, and the others were held constant at the middle value. NRd is the resistance of component concrete in compression including grout Fc,fc,Rd is the resistance of component column flange and web in compression and Fc,weld is the resistance of welds considering uniform distribution of stress. The joint coefficient βj = 0,67 was used.

    Table 8.1.2 Results of component method

    ColumnB.p. offset [mm]B.p. thickness [mm]ConcreteC.b. offset [mm]NRd [kN]2.Fc,fc,Rd [kN]Fc,weld [kN]
    HEB 20015020C25/30300175316322454
    HEB 30015020C25/30300235231263466
    HEB 40015020C25/30300257940403822
    HEB 30010020C25/30300229631263466
    HEB 30020020C25/30300240831263466
    HEB 30015015C25/30300190931263466
    HEB 30015025C25/30300279531263466
    HEB 30015020C16/20300178931263466
    HEB 30015020C35/45300290831263466
    HEB 30015020C25/30200206431263466
    HEB 30015020C25/30400251731263466

    The model in CBFEM was loaded by the compressive force until the concrete block was very close to 100 %. The same approach was used to get the resistance of welds Fc,weld.

    Table 8.1.3 Results of CBFEM

    ColumnB.p. offset [mm]B.p. thickness [mm]Concrete gradeC.b. offset [mm]Concrete block [kN]Fc,weld or Fc,Rd [kN]
    HEB 20015020C25/3030015651835
    HEB 30015020C25/3030023803205
    HEB 40015020C25/3030027103650
    HEB 30010020C25/3030023853205
    HEB 30020020C25/3030024203205
    HEB 30015015C25/3030018703204
    HEB 30015025C25/3030029153204
    HEB 30015020C16/2030018503205
    HEB 30015020C35/4530029753205
    HEB 30015020C25/3020023803205
    HEB 30015020C25/3040024203205

    Summary

    Verification of CBFEM to CM for base plate loaded in compression is shown in Fig. 8.1.3. The dashed lines correspond to the 110 % and 90 % value of resistance. The difference is up to 14 % due to more accurate evaluation of the design bearing strength of the joint  and effective area  in CBFEM.

    inline image in article

    Fig. 8.1.3 Verification of CBFEM to CM for base plate loaded in compression

    Benchmark case

    Input

    Column cross-section

    • HEB 240
    • Steel S235

    Base plate

    • Thickness 20 mm
    • Offsets top 100 mm, left 45 mm
    • Steel S235

    Foundation concrete block

    • Concrete C20/25
    • Offset 335 mm, 530 mm
    • Depth 800 mm
    • Grout thickness 30 mm

    Anchor bolt

    • M20 8.8

    Output

    • Axial force resistance Nj.Rd = −1683 kN

    File di esempio

    Column base – Open section column in bending to strong axis

    This is a selected chapter from book Component-based finite element design of steel connections by prof. Wald et al. The chapter is focused on verification of column base of open section column loaded in bending around stronger axis.

    Description

    The object of this chapter is verification of component-based finite element method (CBFEM) of the column base of the steel open section column loaded in compression and bending around the stronger axis with the component method (CM). The study is prepared for size of the column, geometry, and thickness of base plate. In the study, five components are examined: column flange and web in compression, concrete in compression including grout, base plate in bending, anchors in tension, and welds. All components are designed according to EN 1993-1-8:2005, EN 1992‑1‑1:2005, and EN 1992‑4.

    Verification of resistance

    An example of component method design is shown on the anchorage of column steel section HEB 240:

    Concrete block has dimensions a' = 1000 mm, b' = 1500 mm,  h = 900 mm and grade C20/25. Base plate dimensions are a = 330 mm, b = 440 mm, t = 20 mm and steel grade is S235. Anchor bolts are 4 × M20, As = 245 mm2, length 300 mm, with head diameter a = 60 mm and steel grade 8.8. Grout thickness is 30 mm.

    The results of the analytical solution may be presented on an interaction diagram with distinctive significant points. Point −1 represents loading in pure tension, and point 4 represents the compression bearing resistance. Detailed description of points 0, 1, 2, and 3 is shown in Fig. 8.2.1; see (Wald, 1995) and (Wald et al. 2008).

    inline image in article

    Fig. 8.2.1 Significant points on interaction diagram

    The stress distribution for point 0 and 3 reached by CBFEM is displayed in Fig. 8.2.2 and 8.2.3. 

    inline image in article

    Fig. 8.2.2 Stress in concrete and forces in anchors for point 0 obtained by CBFEM (deform. scale 10)

    inline image in article

    Fig. 8.2.3 Stress in concrete and forces in anchors for point 3 obtained by CBFEM
    (deform. scale 10)

    inline image in article

    Fig. 8.2.4 Comparison of models on interaction diagram

    The comparison of interaction diagram obtained by CBFEM to interaction diagram calculated according to CM is presented in Fig. 8.2.4 and Tab. 8.2.1.

    Tab. 8.2.1 Comparison of results of interaction diagram for HEB 240 by analytic solution and by CBFEM


    Analytical solution
    Results of CBFEM

    Axial force  [kN]Bending resistance [kNm]Axial force [kN]Bending resistance [kNm]
    Point -116901500
    Point 0045037
    Point 1−564103−56498
    Point 2−708108−708111
    Point 3−853103−853101
    Point 4−17000−16830

    Sensitivity study

    The results of CBFEM were compared with the results of the component method. The comparison was made by bending moment resistance for the given level of normal force for each of the interaction diagram points.

    In the sensitivity study, size of the column, dimensions of the base plate, and dimensions of concrete pad were changed. The selected column cross-sections were HEB 200, HEB 300, and HEB 400. The base plate width and length was chosen 100 mm, 150 mm, and 200 mm larger than the column section; the base plate thickness was 15 mm, 20 mm, and 25 mm. The concrete pad was from grade C25/30. The concrete pad height was for all cases 900 mm, and width and length were 200 mm larger than the dimensions of the base plate. Anchor bolts were M20 grade 8.8 with an embedment depth of 300 mm. The parameters are summarized in Tab. 8.2.2. Welds were the same around the whole column section with sufficient throat thickness in order not to be the critical component. One parameter was changed while the others were held constant at the middle value.

    Tab. 8.2.2 Selected parameters

    Column sectionHEB 200HEB 300HEB 400
    Base plate offset100 mm150 mm200 mm
    Base plate thickness15 mm20 mm25 mm

    In Fig. 8.2.5, results for changes in the column cross-section are presented. In Fig. 8.2.6 and Fig. 8.2.7, the base plate offset and the base plate thickness are varied, respectively.

    inline image in article

    Fig. 8.2.5 Column section variation

    inline image in article

    Fig. 8.2.6 Base plate offset variation – 100, 200, and 300 mm

    inline image in article

    Fig. 8.2.7 Base plate thickness variation – 15, 20, and 25 mm

    Benchmark case

    Input

    Column cross-section

    • HEB 240
    • Steel S235

    Base plate

    • Thickness 20 mm
    • Offsets top 100 mm, left 45 mm
    • Steel S235

    Anchor bolt

    • M20 8.8
    • Anchoring length 300 mm
    • Anchor type: Washer plate - circular; size 40 mm
    • Offsets top layers 50 mm, left layers −10 mm
    • Shear plane in thread
    • Welds both 8 mm

    Foundation block

    • Concrete C20/25
    • Offset 335 mm and 530 mm
    • Depth 900 mm
    • Shear force transfer friction
    • Grout thickness 30 mm

    Loading

    • Axial force N = −853 kN
    • Bending moment My = 100 kNm

    Output

    • Anchor bolts 42,2 % (NEd,g = 51,7 kN ≤ NRdc = 122,4 kN - concrete core breakout for anchors A1 and A2)
    • Concrete block 99,5 % (σ = 26,7 MPa ≤ fjd = 26,8 MPa)

    File di esempio

    References

    EN 1992-1-1, Eurocode 2, Design of concrete structures – Part 1-1: General rules and rules for buildings, CEN, Brussels, 2005.

    EN 1992-4:2018, Eurocode 2: Design of concrete structures – Part 4: Design of fastenings for use in concrete, Brussels, 2018.

    EN 1993-1-8, Eurocode 3, Design of steel structures – Part 1-8: Design of joints, CEN, Brussels, 2005.

    Wald F. Column Bases, CTU Publishing House, Prague, 1995.

    Wald F., Sokol Z., Steenhuis M., Jaspart, J.P. Component method for steel column bases, Heron, 53, 2008, 3-20.

    Column base – Hollow section column (EN)

    This is a selected chapter from book Component-based finite element design of steel connections by prof. Wald et al. The chapter is focused on verification of column base of hollow section column.

    Description

    The component-based finite element method (CBFEM) for the hollow section column base verified to the component method (CM) is described below. A compressed column is designed as at least class 3 cross-section. The sensitivity study is prepared for the size of the column, the dimension of the base plate, concrete grade, and the dimension of the concrete block. Four components are activated: the column flange and web in compression, the concrete in compression including grout, the anchor bolt in tension, and welds. This study is mainly focused on two components: concrete in compression including grout and anchor bolt in tension.

    inline image in article

    Fig. 8.4.1 Significant points of multilinear interaction diagram of square hollow section

    Verification of resistance

    In the following example, the column from square hollow section SHS 150×16 is connected to the concrete block with the area dimensions a' = 750 mm, b' = 750 mm and height h = 800 mm from concrete grade C20/25 by the base plate a = 350 mm, b = 350 mm, t = 20 mm from steel grade S420. Anchor bolts are designed 4 × M20, As = 245 mm2 with a head diameter a = 60 mm from steel grade 8.8 with the offsets at the top 50 mm and the left −20 mm and with an embedment depth 300 mm. Grout has a thickness of 30 mm.

    The results of the analytical solution are presented as an interaction diagram with distinctive points. A detailed description of points −1, 0, 1, 2, and 3 is shown in Fig. 8.4.1; see (Wald, 1995) and (Wald et al. 2008), where point −1 represents pure tensile force, point 0 pure bending moment, points 1 to 3 combined compressive force and bending moment, and point 4 pure compressive force.

    inline image in article

    Fig.8.4.2 The column base for column SHS 150×16 and selected mesh of the base plate

    In CBFEM, the prying forces occur in the case of loading in pure tension loading; while in CM, no prying forces are developed by limiting the resistance to 1-2 failure mode only; see (Wald et al. 2008). Due to the prying forces, the difference in resistance is about 10 %. The numerical model of the column base is shown in Fig. 8.4.2. Results by CBFEM are presented by the bearing stress distribution on concrete for points 0 and 3, displayed in Fig. 8.4.3 and Fig. 8.4.4, and compared on the interaction diagram in Fig. 8.4.5.

    inline image in article

    Fig. 8.4.3 CBFEM results for point 0, i.e. pure bending moment

    inline image in article

    Fig. 8.4.4 CBFEM results for point 3, i.e. compressive force and bending moment

    inline image in article

    Fig. 8.4.5 Comparison of results of prediction of resistance by CBFEM and CM on interaction diagram for column base of column cross-section SHS 150×16

    Sensitivity study

    The sensitivity study is prepared for the column cross-section size, dimensions of the base plate, concrete grade, and dimensions of the concrete block. The columns are selected SHS 150×16, SHS 160×12.5, and SHS 200×16. The base plate is designed with area dimensions 100 mm, 150 mm, and 200 mm larger than the column cross-section. The base plate thickness is 10 mm, 20 mm, and 30 mm. The foundation block is from concrete grade C20/25, C25/30, C30/37, and C35/45 with a height for all cases 800 mm and with area dimensions 100 mm, 200 mm, 300 mm, and 500 mm larger than the dimensions of the base plate. One parameter was changed while the others were held constant. The parameters are summarized in Tab. 8.4.1. The fillet welds with thickness a = 12 mm were selected. The joint coefficient for grout with sufficient quality is taken as βj = 0,67. Steel plates are from S420 with anchor bolts M20 grade 8.8 with embedment depth 300 mm in all cases.

    Table 8.4.1 Selected parameters

    Column cross sectionSHS 150×16SHS 16×12,5SHS 200×16
    Base plate offset, mm100150200
    Base plate thickness, mm102030
    Concrete gradeC20/25C30/37C35/45
    Concrete pad offset, mm100300500

    For the sensitivity study of column cross-section, the concrete grade C20/25, the base plate thickness 20 mm, the base plate offset 100 mm, and the concrete block offset 200 mm were used for varying parameters of the column section. The comparison of CBFEM to the analytical model by CM is shown in the interaction diagrams in Fig. 8.4.6.

    inline image in article

    Fig. 8.4.6 Comparison of results of CBFEM to CM for the different column cross-sections

    For the sensitivity study of base plate offset, the column cross-section SHS 200×16, concrete grade C25/30, base plate thickness 20 mm, and concrete block offset 200 mm were selected. The comparison of interaction diagrams is in Fig. 8.4.7. The most significant difference is in the resistance in pure tension of a large base plate where significant prying forces were present in CBFEM analyses, which are limited by analytical design.

    inline image in article

    Fig. 8.4.7 Comparison of results of CBFEM to CM for the different base plate offsets

    For sensitivity study of base plate thickness, the column cross-section SHS 200×16, concrete grade C25/30, base plate offset 100 mm, and concrete block offset 200 mm were selected. 10 mm, 20 mm, and 30 mm base plate thicknesses were used in this study. The comparison of interaction diagrams is in Fig. 8.4.8. The biggest difference is in the resistance in pure tension of a thin base plate where significant prying forces were present in CBFEM analyses, which are limited in analytical design by CM.

    inline image in article

    Fig. 8.4.8 Comparison of results of CBFEM to CM for the different base plate thickness

    For the sensitivity study of concrete grade, the column cross-section SHS 150×16, base plate thickness 20 mm, base plate offset 100 mm, and concrete block offset 200 mm were selected. Concrete grades C20/25, C30/37, and C35/45 were used in this study. The comparison of interaction diagrams is in Fig. 8.4.9.

    inline image in article

    Fig. 8.4.9 Comparison of results of CBFEM to CM for the different concrete grades

    For the sensitivity study of concrete block offset, the column cross-section SHS 160×12.5, base plate thickness 20 mm, base plate offset 100 mm, and concrete grade C25/30 were selected. 100 mm, 300 mm, and 500 mm concrete block offsets were used in this study. The comparison of interaction diagrams is in Fig. 8.4.10.

    inline image in article

    Fig. 8.4.10 Comparison of results of CBFEM to CM for the different concrete block offsets

    The differences in the prediction of resistance of column base by CBFEM and CM are mainly in accepting the prying forces in CBFEM and avoiding it by CM according to EN 1993-1-8:2005.

    Tab. 8.4.2 Interaction diagram comparison of CBFEM and CM

    Difference
    CBFEM/CM
    Point -1Point 0Point 1Point 2Point 3Point 4
    Maximum %100%105%107%105%112%93%
    Minimum %69%71%81%84%89%88%

    Benchmark case

    Input

    Column cross-section

    • SHS 150×16
    • Steel S420

    Base plate

    • Thickness 20 mm
    • Offsets at top 100 mm, left 100 mm
    • Welds – butt welds
    • Steel S420

    Anchors

    • M20 8.8.
    • Anchoring length 300 mm
    • Anchor type: Washer plate - circular; size 40mm
    • Offsets top layers 50 mm, left layers −20 mm
    • Shear plane in thread

    Foundation block

    • Concrete C20/25
    • Offset 200 mm
    • Depth 800 mm
    • Shear force transfer friction
    • Grout thickness 30 mm

    Loading

    • Axial force N = −762 kN
    • Bending moment My = 56 kNm

    Output

    • Plates
    • Anchor bolts 97,8 % (\(N_{Ed,g} = 65.7 \textrm{ kN} \le N_{Rd,c} = 67.2 \textrm{ kN}\) (critical component concrete cone breakout for group of anchors A1 and A2)
    • Concrete block 91,5 % (\( \sigma = 24.5 \textrm{ MPa} \le f_{jd} = 26.8 \textrm{ MPa}\))
    • Secant rotational stiffness \(S_{js} = 6.3 \textrm{ MNm/rad}\)

    References

    EN 1993-1-8, Eurocode 3, Design of steel structures – Part 1-8: Design of joints, CEN, Brussels, 2005.

    Wald F. Column Bases, CTU Publishing House, Prague, 1995.

    Wald F., Sokol Z., Steenhuis M., Jaspart, J.P. Component method for steel column bases, Heron, 53, 2008, 3-20.

    RELATED ARTICLES

    Rectangular hollow sections

    Column web panel in shear

    Welded portal frame eaves moment connection

    This is a selected chapter from book Component-based finite element design of steel connections by prof. Wald et al. The chapter is focused on verification of welded portal frame eaves moment joint, mainly the component column web panel in shear.

    Description

    In this chapter, the component-based finite element method (CBFEM) for a welded portal frame eaves moment connection is verified on the component method (CM). An open section beam is welded to an open section column. The column is stiffened with two horizontal stiffeners opposite to beam flanges. Compressed plates, e.g. horizontal stiffeners of a column, column web panel in shear, compressed beam flange, are limited to 3rd class to avoid buckling. The rafter is loaded by shear force and bending moment.

    Analytical model

    Five components are examined in the study, namely the web panel in shear, the column web in transverse compression, the column web in transverse tension, the column flange in bending, and the beam flange in compression. All components are designed according to EN 1993-1-8:2005. Fillet welds are designed not to be the weakest component in the joint. The verification study of a fillet weld in a stiffened beam-to-column joint is in chapter 4.4.

    Web panel in shear

    The thickness of the column web is limited by slenderness to avoid stability problem; see EN 1993‑1‑8:2005, Cl 6.2.6.1(1). A class 4 column web panel in shear is studied in chapter 6.2. Two contributions to the load capacity are considered: resistance of the column panel in shear and the contribution from the frame mechanism of the column flanges and horizontal stiffeners; see EN 1993‑1‑8:2005, Cl. 6.2.6.1 (6.7 and 6.8).

    Column web in transverse compression

    Effect of the interaction of the shear load is considered; see EN 1993-1-8:2005, Cl. 6.2.6.2, Tab. 6.3. Influence of longitudinal stress in the column panel is considered; see EN 1993-1-8:2005, Cl. 6.2.6.2(2). The horizontal stiffeners are included in the load capacity of this component.

    Column web in transverse tension

    Effect of the interaction of the shear load is considered; see EN 1993-1-8:2005, Cl. 6.2.6.2, Tab. 6.3. The horizontal stiffeners are included in the load capacity of this component.

    Column flange in bending

    Horizontal stiffeners brace column flange; this component is not considered.

    Beam flange in compression

    The horizontal beam is designed to be class 3 cross-section or better to avoid buckling.

    Overview of the considered examples and the material are given in the Tab. 9.1.1. Geometry of the joint with dimensions is shown in Fig. 9.1.1. The considered parameters in the study are beam cross-section, column cross-section, and thickness of the column web panel.

    Tab. 9.1.1 Examples overview

    Example
     Material  BeamColumnColumn stiffener 
     fyfuE\(\gamma_{M0}\)\(\gamma_{M2}\)SectionSectionbsts
     [MPa][MPa][GPa][-][-]  [mm][mm]
    IPE14023536021011,25IPE140HEB2607310
    IPE16023536021011,25IPE160HEB2608210
    IPE18023536021011,25IPE180HEB2609110
    IPE20023536021011,25IPE200HEB26010010
    IPE22023536021011,25IPE220HEB26011010
    IPE24023536021011,25IPE240HEB26012010
    IPE27023536021011,25IPE270HEB26013510
    IPE30023536021011,25IPE300HEB26015010
    IPE33023536021011,25IPE330HEB26016010
    IPE36023536021011,25IPE360HEB26017010
    IPE40023536021011,25IPE400HEB26018010
    IPE45023536021011,25IPE450HEB26019010
    IPE50023536021011,25IPE500HEB26020010
    Example
     Material  BeamColumnColumn stiffener 
     fyfuE\(\gamma_{M0}\)\(\gamma_{M2}\)SectionSectionbsts
     [MPa][MPa][GPa][-][-]  [mm][mm]
    HEB16023536021011,25IPE330HEB16016010
    HEB18023536021011,25IPE330HEB18016010
    HEB20023536021011,25IPE330HEB20016010
    HEB22023536021011,25IPE330HEB22016010
    HEB24023536021011,25IPE330HEB24016010
    HEB26023536021011,25IPE330HEB26016010
    HEB28023536021011,25IPE330HEB28016010
    HEB30023536021011,25IPE330HEB30016010
    HEB32023536021011,25IPE330HEB32016010
    HEB34023536021011,25IPE330HEB34016010
    HEB36023536021011,25IPE330HEB36016010
    HEB40023536021011,25IPE330HEB40016010
    HEB45023536021011,25IPE330HEB45016010
    HEB50023536021011,25IPE330HEB50016010
    Example
     Material  BeamColumn Column stiffener 
     fyfuE\(\gamma_{M0}\)\(\gamma_{M2}\)SectionSectiontwbsts
     [MPa][MPa][GPa][-][-]  [mm][mm][mm]
    tw423536021011,25IPE330HEA320416010
    tw523536021011,25IPE330HEA320516010
    tw623536021011,25IPE330HEA320616010
    tw723536021011,25IPE330HEA320716010
    tw823536021011,25IPE330HEA320816010
    tw923536021011,25IPE330HEA320916010
    tw1023536021011,25IPE330HEA3201016010
    tw1123536021011,25IPE330HEA3201116010
    tw1223536021011,25IPE330HEA3201216010
    tw1323536021011,25IPE330HEA3201316010
    tw1423536021011,25IPE330HEA3201416010
    tw1523536021011,25IPE330HEA3201516010
    tw1623536021011,25IPE330HEA3201616010
    inline image in article

    Fig. 9.1.1 Joint geometry and dimensions

    Numerical model

    Nonlinear elastic-plastic material status is investigated in each layer of an integration point. Assessment is based on the maximum strain given according to EN 1993-1-5:2006 by the value of 5%. 

    Global behavior

    Comparison of the global behavior of a portal frame moment connection, described by moment-rotation diagram, is presented. Main characteristics of the moment-rotation diagram are initial stiffness, elastic resistance, and design resistance. An open section beam IPE 330 is welded to a column HEB 260 in the example. A portal frame moment connection with horizontal stiffeners in the column is considered according to component method as a rigid joint with Sj,ini = ∞. Therefore a joint without horizontal stiffeners in the column is analyzed. The moment-rotation diagram is shown in Fig. 9.1.2, and the results are summarised in Tab. 9.1.2. The results show very good agreement in initial stiffness and joint global behavior.

    Tab. 9.1.2 Rotational stiffness of a portal frame moment connection in CBFEM and CM

      CMCBFEMCM/CBFEM
    Initial stiffness Sj,ini[kNm/rad]48423,758400,00,83
    Elastic resistance 2/3 Mj,Rd[kNm]93,393,01,00
    Design resistance Mj,Rd[kNm]140,0139,00,99
    inline image in article

    Fig. 9.1.2 Moment-rotation diagram for a joint without column stiffeners

    Verification of resistance

    The results calculated by CBFEM are compared with CM. The comparison is focused on the design resistance and the critical component. The study is performed for three different parameters: beam cross-section, column cross-section, and thickness of the column web panel.

    An open section column HEB 260 is used in an example where the parameter is beam cross-section. The column is stiffened with two horizontal column stiffeners of thickness 10 mm opposite to the beam flanges. The width of stiffeners is corresponding to the width of beam flange. The beam IPE sections are selected from IPE 140 to IPE 500. The results are shown in Tab. 9.1.3. The influence of beam cross-section on the design resistance of a welded portal frame moment connection is shown in Fig. 9.1.3.

    Tab. 9.1.3 Design resistances and critical components in CBFEM and CM

    ParameterComponent method
     CBFEM
     ResistanceCritical componentResistanceCritical component
     [kN/kNm] [kN/kNm] 
    IPE14024Beam flange in compression27Beam flange in compression
    IPE16033Beam flange in compression34Beam flange in compression
    IPE18044Beam flange in compression48Beam flange in compression
    IPE20059Beam flange in compression67Beam flange in compression
    IPE22077Beam flange in compression80Beam flange in compression
    IPE24098Beam flange in compression103Beam flange in compression
    IPE270113Beam flange in compression125Beam flange in compression
    IPE300142Web panel in shear142Beam flange in compression
    IPE330155Web panel in shear145Web panel in shear
    IPE360168Web panel in shear167Web panel in shear
    IPE400186Web panel in shear183Web panel in shear
    IPE450209Web panel in shear202Web panel in shear
    IPE500231Web panel in shear223Web panel in shear
    inline image in article

    Fig. 9.1.3 Sensitivity study of beam size in a portal frame moment connection

    An open section beam IPE330 is used in an example where the parameter is column cross-section. The column is stiffened with two horizontal column stiffeners with a thickness of 10 mm opposite to the beam flanges. The width of stiffeners is corresponding to the width of beam flange. The combined width of stiffeners is 160 mm. The column sections are selected from HEB 160 to HEB 500. The results are shown in Tab. 9.1.4. The influence of column cross-section on the design resistance of a welded portal frame moment connection is shown in Fig. 9.1.4.

    Tab. 9.1.4 Design resistances and critical components of a moment connection in CBFEM and CM

    ParameterComponent method
     CBFEM
     ResistanceCritical componentResistanceCritical component
     [kN/kNm] [kN/kNm] 
    HEB16073Web panel in shear70Web panel in shear
    HEB18084Web panel in shear88Web panel in shear
    HEB200103Web panel in shear101Web panel in shear
    HEB220116Web panel in shear124Web panel in shear
    HEB240139Web panel in shear139Web panel in shear
    HEB260155Web panel in shear145Web panel in shear
    HEB280170Web panel in shear179Beam flange in compression
    HEB300198Web panel in shear196Beam flange in compression
    HEB320216Web panel in shear226Beam flange in compression
    HEB340226Beam flange in compression240Beam flange in compression
    HEB360228Beam flange in compression245Beam flange in compression
    HEB400234Beam flange in compression251Beam flange in compression
    HEB450241Beam flange in compression258Beam flange in compression
    HEB500248Beam flange in compression266Beam flange in compression
    inline image in article

    Fig. 9.1.4 Sensitivity study of column size in a portal frame moment connection

    Third example presents a portal frame moment connection made out of an open section beam IPE 330 and column HEA 320. The parameter is the thickness of the column web. The column is stiffened with two horizontal column stiffeners with a thickness of 10 mm and width 160 mm. The column web thickness is chosen from 4 to 16 mm. The results are summarised in Tab. 9.1.5. The influence of column web thickness on the design resistance of a welded portal frame moment connection is shown in Fig. 9.1.5.

    Tab. 9.1.5 Design resistances and critical components of a moment connection in CBFEM and CM

    ParameterComponent methodCBFEM 
     ResistanceCritical componentResistanceResistance
     [kN/kNm] [kN/kNm][kN/kNm]
    tw482Web panel in shear99Web panel in shear
    tw594Web panel in shear115Web panel in shear
    tw6106Web panel in shear131Web panel in shear
    tw7118Web panel in shear147Web panel in shear
    tw8130Web panel in shear162Web panel in shear
    tw9142Web panel in shear177Web panel in shear
    tw10155Web panel in shear190Beam flange in compression
    tw11167Web panel in shear203Beam flange in compression
    tw12179Web panel in shear216Beam flange in compression
    tw13191Web panel in shear227Beam flange in compression
    tw14203Web panel in shear236Beam flange in compression
    tw15215Beam flange in compression240Beam flange in compression
    tw16222Beam flange in compression241Beam flange in compression
    inline image in article

    Fig. 9.1.5 A sensitivity study of column web thickness

    To illustrate the accuracy of the CBFEM model, the results of the parametric studies are summarized in a diagram comparing the resistances of CBFEM and component method; see Fig. 9.1.6. The results show that the difference between the two calculation methods is less than 5%, which is a generally acceptable value. The study with parameter column web thickness gives higher resistance for CBFEM model compared to component method. This difference is caused by considering welded cross-sections. The transfer of shear load is in component method considered only in web and contribution of the flanges is neglected.

    inline image in article

    Fig. 9.1.6 Verification of CBFEM to CM

    Benchmark example

    Inputs

    Column

    • Steel S235
    • HEB260
    • Column offset over beam: 20 mm

    Beam

    • Steel S235
    • IPE330

    Column stiffeners

    • Thickness ts = 10 mm
    • Width 80 mm
    • Opposite to beam flanges

    Weld

    • Beam flange: fillet weld throat thickness af  = 9 mm
    • Beam web: fillet weld throat thickness aw  = 5 mm
    • Butt weld around stiffeners

    Outputs

    • Design resistance in shear VRd = –145 kN
    • Design resistance in bending MRd = 145 kNm
    • Critical component: Column web panel in shear

    File di esempio

    Bolted portal frame eaves moment connection

    This is a selected chapter from book Component-based finite element design of steel connections by prof. Wald et al. The chapter is focused on verification of welded portal frame eaves moment joint, mainly the component column web panel in shear.

    Description

    The objective of this study is verification of bolted portal frame eaves connection, as shown in Fig. 9.2.1. Rafter is bolted using end plate on the column flange. The column is stiffened with two horizontal stiffeners in levels of the beam flanges. Compressed plates, e.g. horizontal stiffeners of column, web panel in shear or compression, and compressed beam flange, are designed as cross-section class 3. Horizontal beam is 6 m long loaded by continuous load over the entire length.

    inline image in article

    Fig. 9.2.1 Bolted portal frame eaves connection

    Analytical model

    Eight components are examined: fillet weld, web panel in shear, column web in transverse compression, column web in transverse tension, beam flange in compression and tension, column flange in bending, end plate in bending, and bolts. All components are designed according to EN 1993-1-8:2005. Design loads of components depend on the position. The web panel in shear is loaded by design loads on the vertical axis of the column. Other components are loaded by reduced design loads in column flange to which horizontal beam is connected.

    Fillet weld

    The weld is closed around the whole cross-section of the beam. The thickness of the weld on the flanges can differ from the thickness of the weld on the web. Vertical shear force is transferred only by welds on the web and plastic stress distribution is considered. Bending moment is transferred by whole weld shape, and elastic stress distribution is considered. Effective weld width depending on the horizontal stiffness of the column is considered (because of bending of the unstiffened column flange). Design of the weld is done according to EN 1993-1-8:2005, Cl. 4.5.3.2(6). The assessment is carried out in two major points: on the upper or lower edge of the flange (maximum bending stress) and in the crossing of the flange and the web (combination of shear force and bending moment stresses).

    Web panel in shear

    The thickness of the column web is designed to be third class at most; see EN 1993-1-8:2005, Cl. 6.2.6.1(1). Two contributions to the load capacity are considered: resistance of the column wall in shear and the contribution from the frame behavior of the column flanges and horizontal stiffeners; see EN 1993-1-8:2005, Cl. 6.2.6.1 (6.7 and 6.8).

    Column web in transverse compression or tension

    Effect of the interaction of the shear load is considered; see EN 1993-1-8:2005, Cl. 6.2.6.2 and Tab. 6.3. Influence of longitudinal stress in the wall of the column is considered; see EN 1993-1-8:2005, Cl. 6.2.6.2(2). Horizontal stiffeners prevent buckling and are included in the load capacity of this component with the effective area.

    Beam flange in compression

    The horizontal beam is designed to be maximally third class.

    Column flange or end plate in bending

    Effective lengths for circular and noncircular failures are considered according to EN 1993-1-8:2005, Cl. 6.2.6. Three modes of collapse according to EN 1993-1-8:2005, Cl. 6.2.4.1 are considered.

    Bolts

    Bolts are designed according to EN 1993-1-8:2005, Cl. 3.6.1. Design resistance considers punching shear resistance and rupture of the bolt.

    Numerical design model

    T-stub is modeled by 4-node shell elements as described in Chapter 3 and summarized further. Every node has 6 degrees of freedom. Deformations of the element consist of membrane and flexural contributions. Nonlinear elastic-plastic material status is investigated in each layer of integration point. Assessment is based on the maximum strain given according to EN 1993-1-5:2006 by value of 5 %. Bolts are divided into three sub-components. The first is the bolt shank, which is modeled as a nonlinear spring and caries tension only. The second sub-component transmits tensile force into the flanges. The third sub-component solves shear transmission.

    Global behavior

    Comparison of the global behavior of the joint, described by moment-rotation diagrams for both design procedures mentioned above, was done. Attention was focused on the main characteristics of the moment-rotation diagram: initial stiffness, design resistance, and deformation capacity. Beam IPE 330 is connected to column HEB 300 using extended end plate with 5 rows of the bolts M24 8.8. The results of both design procedures are shown in the graph in Fig. 9.2.2 and in Tab. 9.2.1. CM generally gives higher initial stiffness compared to CBFEM. CBFEM gives slightly higher design resistance compared to CM in all cases, as shown in Chapter 9.2.5. The difference is up to 10%. Deformation capacity is also compared. Deformation capacity was calculated according to (Beg et al. 2004) because EC3 provides limited background for deformation capacity of endplate joints.

    inline image in article

    Fig. 9.2.2 Moment-rotation diagram

    Tab. 9.2.1 Global behavior overview



    CMCBFEMCM/CBFEM
    Initial stiffness[kNm/rad]674001120000,60
    Design resistance[kNm]2041990,98
    Deformation capacity[mrad]242475,14

    Verification of resistance

    Design resistance calculated by CBFEM was compared with the results of the component method in the next step. The comparison was focused on the resistance and also the critical component. The study was performed for the column cross-section parameter. Beam IPE 330 is connected to the column by extended endplate with 5 bolt rows. Bolts M24 8.8 are used. The dimensions of the end plate P15 with bolt end distances and spacing in millimeters are the height 450 (50-103-75-75-75-73) and the width 200 (50-100-50). The outer edge of the upper flange is 91 mm from the edge of the end plate. Beam flanges are connected to the end plate with welds with the throat thickness of 8 mm. The beam web is connected with the weld throat thickness of 5 mm. The column is stiffened with horizontal stiffeners opposite to beam flanges. The Stiffeners are 15 mm thick, and their width corresponds to the column width. The thickness of the end plate stiffener is 10 mm, and its width is 90 mm. The results are shown in Tab. 9.2.2 and Fig. 9.2.3.

    Tab. 9.2.2 Design resistance for parameter – column profile

    Column cross sectionCM CBFEM CM/ CBFEM
     ResistanceComponentResistanceComponent 
     [kNm] [kNm]  
    HEB 200107Column web in shear106Column web in shear1,01
    HEB 220121Column web in shear136Column web in shear0,89
    HEB 240143Column web in shear155Column web in shear0,92
    HEB 260160Column web in shear169Column web in shear0,95
    HEB 280176Column web in shear187Column web in shear0,94
    HEB 300204Column web in shear199Beam flange in tension/compression0,98
    HEB 320222Column web in shear225Beam flange in tension/compression0,99
    HEB 340226Beam flange in tension/compression242Beam flange in tension/compression0,93
    HEB 360229Beam flange in tension/compression239Beam flange in tension/compression0,96
    HEB 400234Beam flange in tension/compression253Beam flange in tension/compression0,92
    HEB 450241Beam flange in tension/compression260Beam flange in tension/compression0,93
    HEB 500248Beam flange in tension/compression268Beam flange in tension/compression0,93
    inline image in article

    Fig. 9.2.3 Design resistance depending on column cross-section

    To illustrate the accuracy of the CBFEM model, the results of the parametric studies are summarized in the graph comparing resistances predicted by CBFEM and by CM; see Fig. 9.2.4. The results show that CBFEM provides slightly higher design resistance compared to CM in nearly all cases. The difference between both methods is up to 10%.

    inline image in article

    Fig. 9.2.4 Verification of CBFEM to CM

    Benchmark example

    Inputs

    • Steel S235
    • Beam IPE 330
    • Column HEB 300
    • End plate height hp = 450 (50-103-75-75-75-73) mm
    • End plate width bp = 200 (50-100-50) mm
    • End plate P15
    • Column stiffeners 15 mm thick and 300 mm wide
    • End plate stiffener 10 mm thick, 90 mm width and depth, chamfers 20 mm 
    • Flange weld throat thickness af = 8 mm
    • Web and end plate stiffener weld throat thickness aw = 5 mm
    • Bolts M24 8.8

    Outputs

    • Design resistance in bending MRd = 206 kNm
    • Corresponding vertical shear force VEd= –206 kN
    • Collapse mode: yielding of the beam stiffener on upper flange
    • Utilization of the bolts 90,2 %
    • Utilization of the welds 99,0 %

    File di esempio

    Prediction of stiffness

    Bending stiffness of welded joint of open sections

    This verification example contains chapter 10.1 of the book "Benchmark cases for advanced design of structural steel connections" written by prof. Wald and his team.

    Description

    The prediction of rotational stiffness is described on a welded eaves moment joint. A welded joint of open section column HEB and beam IPE is studied, and the joint behavior is described on a moment-rotation diagram. The results of the analytical model by component method (CM) are compared with the numerical results obtained by the component-based finite element method (CBFEM). A benchmark case is available.

    Analytical model

    The rotational stiffness of a joint should be determined from a deformation of its basic components, which are represented by the stiffness coefficient ki. The rotational stiffness of the joint Sj is obtained from:

    \[ S_j = \frac{E z^2}{\mu \Sigma_i \frac{1}{k_i}} \]

    where:

    • ki  is the stiffness coefficient for the joint component i;
    • z   is the lever arm; see 6.2.7;
    • μ   is the stiffness ratio; see 6.3.1.

    The joint components that are taken into account in this example are column web panel in shear k1, column web in compression k2, and column web in tension k3. The stiffness coefficients are defined in Table 6.11 in EN 1993-1-8:2005. The initial stiffness Sj,ini is obtained for a moment Mj,Ed 2/3 Mj,Rd.

    \[S_j = \frac{E \, z^{2}}{\frac{1}{k_1} + \frac{1}{k_2} + \frac{1}{k_3}}\]

    \[S_{j,\text{ini}} = \frac{S_j}{1.5^{\psi}}\]

    where 

    \(S_{j}\) — rotational stiffness of the joint

    \(\psi\) = 2.7 — EN 1993-1-8 table 6.8


    An open section beam IPE 400 is welded to a column HEB 300 in the example. Beam flanges are connected to the column flange with welds with the throat thickness of 9 mm. The beam web is connected with welds with the throat thickness of 5 mm. Plastic stress distribution is considered in welds. The material of the beam and column is S235. The design resistance is limited by the components column panel in shear and column panel in transverse compression . The calculated stiffness coefficients of the basic components, initial stiffness, stiffness by design resistance, and rotation of the beam are summarised in Tab. 10.1.1.

    \[ \textsf{\textit{\footnotesize{Tab. 10.1.1 Results of the analytical model}}}\]

    inline image in article

    Numerical model

    Detailed information about the prediction of stiffness in CBFEM may be found in chapter 3.9. The same eaves moment joint is modeled, and the results are in Tab. 10.1.2. The design resistance is reached by 5% plastic strain in the component column web in tension. The CBFEM analyses allow calculating rotational stiffness at any stage of loading.

    Experimental overview 

    For the purpose of the comparison, a cross-section was set to HEB300 and the beam cross-section was variable. All materials utilised were S235. 

    \[ \textsf{\textit{\footnotesize{Tab. 10.1.2 Experimental overview}}}\]

    inline image in article

    \[ \textsf{\textit{\footnotesize{Tab. 10.1.3 Experimental overview}}}\]

    inline image in article
    inline image in article

    \[ \textsf{\textit{\footnotesize{Fig. 1 Verification of CBFEM to CM}}}\]

    inline image in article

    \[ \textsf{\textit{\footnotesize{Fig. 2Sensitivity study of beam IPE cross-section}}}\]

    Verification of stiffness

    The rotational stiffness calculated by CBFEM is compared with CM. The comparison shows good agreement in initial stiffness and correspondence of joint behavior. The calculated stiffness from CBFEM and CM are summarised in Tab. 10.1.3.

    A comparison of the global behavior of a welded eaves moment joint described by a moment-rotation diagram is prepared. The joint is analyzed, and the stiffness of the connected beam is calculated. The main characteristic is the initial stiffness calculated at 2/3Mj,Rd, where Mj,Rd is the design moment resistance of the joint. The moment-rotation diagram is shown in Fig. 10.1.1.

    inline image in article

    \[ \textsf{\textit{\footnotesize{Fig. 3 Moment-rotation diagram for a welded eaves moment joint, IPE240}}}\]

    inline image in article

    \[ \textsf{\textit{\footnotesize{Fig. 4 Moment-rotation diagram for a welded eaves moment joint, IPE270}}}\]

    inline image in article

    \[ \textsf{\textit{\footnotesize{Fig. 5 Moment-rotation diagram for a welded eaves moment joint, IPE300}}}\]

    inline image in article

    \[ \textsf{\textit{\footnotesize{Fig. 6 Moment-rotation diagram for a welded eaves moment joint, IPE360}}}\]

    inline image in article

    \[ \textsf{\textit{\footnotesize{Fig. 7 Moment-rotation diagram for a welded eaves moment joint, IPE400}}}\]

    inline image in article

    \[ \textsf{\textit{\footnotesize{Fig. 8 Moment-rotation diagram for a welded eaves moment joint, IPE450}}}\]

    inline image in article

    \[ \textsf{\textit{\footnotesize{Fig. 9 Moment-rotation diagram for a welded eaves moment joint, IPE500}}}\]

    Benchmark case

    Inputs

    Beam and column

    • Steel S235
    • Column HEB 300
    • Beam IPE 400
    • Flange weld throat thickness af  = 9 mm
    • Web weld throat thickness aw  = 5 mm
    • Column offset s = 150 mm
    • Double fillet weld

    Outputs

    • Design resistance \(M_\mathrm{j,Rd}= 199 \quad \mathrm{kNm}\)
    • Load \(M_\mathrm{j,Ed}=2/3M_\mathrm{j,Rd}= 133\quad \mathrm{kNm}\) 
    • Secant rotational stiffness \(S_\mathrm{j,ini}= 81.3\quad \mathrm{MNm/rad}\) 
    inline image in article

    \[ \textsf{\textit{\footnotesize{Fig. 10 Benchmark case for welded eaves moment joint (IPE 400 to HEB 300)}}}\]

    File di esempio

    Bending stiffness of bolted joint of open sections

    A sample chapter from book Benchmark cases for advanced design of structural steel connections

    10.2.1 Description

    The prediction of rotational stiffness is verified on a bolted eaves moment joint. A bolted joint of open section column HEB and beam IPE is studied and the joint’s behaviour is described on moment-rotation diagram. The results of analytical model by the component-based finite element method (CBFEM) are compared with the component method (CM). The numerical results in form of a benchmark case are available.

    10.2.2 Analytical model

    The rotational stiffness of a joint should be determined from deformation of its basic components, which are represented by the stiffness coefficient ki. The rotational stiffness of the joint Sj is obtained from:

    \[ S_j = \frac{E z^2}{\mu \Sigma_i \frac{1}{k_i}} \]

    where

    \(k_i\) —  the stiffness coefficient for the joint component i;

    \(z\) — the lever arm, see 6.2.7;

    \(μ\) — the stiffness ratio, see 6.3.1.

    The joint components that are taken into account in this example are column web panel in shear k1 which equals infinity for a stiffened column and a single equivalent stiffness coefficient keq for end-plate joint with two or more bolt-rows in tension.

    \[k_{\mathit{1}} = 0.38 \, \frac{A_{\mathit{vc}}}{\beta \, z}\]

    \[k_{eq} = \frac{(k_{eff,0}h_{r,0}) + (k_{eff,1}h_{r,1}) + (k_{eff,2}h_{r,2}) + (k_{eff,3}h_{r,3}) + (k_{eff,4}h_{r,4})}{z_{eq}}\]

    \[k_{eff,i} = \frac{1}{\frac{1}{k_{5,i}} + \frac{1}{k_{10}} + \frac{1}{k_{4,i}}}\]

    \[z_{eq} = \frac{(k_{eff,0}h_{r,0}^2) + (k_{eff,1}h_{r,1}^2) + (k_{eff,2}h_{r,2}^2) + (k_{eff,3}h_{r,3}^2) + (k_{eff,4}h_{r,4}^2)}{(k_{eff,0}h_{r,0}) + (k_{eff,1}h_{r,1}) + (k_{eff,2}h_{r,2}) + (k_{eff,3}h_{r,3}) + (k_{eff,4}h_{r,4})}\]


    \[S_{\mathit{j,\,ini}} = \frac{E \, z_{\mathit{eq}}^{2}}{\mu \left( \frac{1}{k_{\mathit{eq}}} + \frac{1}{k_{\mathit{1}}} \right)}\]

    where

    \(h_{r,i}\) — distance from the bolt row to beam bottom flange see Drawing 10.2.1

    \(k_i\) — the stiffness coefficient for the joint component i

    \(z_{eq}\) — is the equivalent lever arm

    inline image in article

    \[ \textsf{\textit{\footnotesize{Drawing 10.2.1 }}}\]

    An open section beam IPE 330 is connected with bolted end-plate to a column HEB 200 in the example. The end-plate thickness is 15 mm, the bolt type is M24 8.8 and the assembly is shown in Fig. 10.2.1. Other examples have different column cross-sections. The stiffeners are inside column opposite to beam flanges with thickness of 15 mm. Beam flanges are connected to the end-plate with welds throat thickness of 8 mm. The beam web is connected with weld throat thickness of 5 mm. Plasticity is applied in welds. The material of the beam, column and end-plate is S235. The joint is loaded in bending. The design resistance is limited by the component column web panel in shear. The calculated stiffness coefficients of the basic components, initial stiffness, stiffness by design resistance and rotation of the beam are summarised in Tab. 10.2.1.  Joints with column height below 260 mm had the web panel in shear failure mode, other had beam flange in tension, so their bending resistances are equal.

    Tab. 10.2.1 Results of the analytical model (Component method)

    inline image in article
    inline image in article

    \[ \textsf{\textit{\footnotesize{Fig. 10.2.1 Joint geometry with dimensions}}}\]

    10.2.3 Verification of stiffness

    Detailed information about the prediction of stiffness in CBFEM may be found in chapter 3.9. The CBFEM analyses allows to calculate secant rotational stiffness in any stages of loading. The design resistance is reached by 5% plastic strain in a component column web panel in shear. The rotational stiffness calculated by CBFEM compared with CM. The comparison shows good agreement in initial stiffness and correspondence of joint’s behavior. The calculated stiffness from CBFEM and CM are summarized in Fig 10.2.2.  

    Tab. 10.2.2 Verification CBFEM to CM

    inline image in article
    inline image in article

    \[ \textsf{\textit{\footnotesize{Fig. 10.2.2 Verification of the bending resistance CBFEM to CM}}}\]

    inline image in article

    \[ \textsf{\textit{\footnotesize{Fig. 10.2.3 Verification of the bending stiffness CBFEM to CM}}}\]

    inline image in article

    \[ \textsf{\textit{\footnotesize{Fig. 10.2.4 Sensitivity study for the beam height}}}\]

    inline image in article

    \[ \textsf{\textit{\footnotesize{Fig. 10.2.5 Sensitivity study for the beam height (initial stiffness)}}}\]

    10.2.4 Global behavior and verification

    A comparison of the global behavior of a bolted eaves moment joint described by the moment-rotation diagram is prepared. The joint is analyzed and the stiffness of the connected beam is calculated. The main characteristic is the initial stiffness calculated by 2/3 Mj,Rd, where Mj,Rd is the design moment resistance of the joint. Mc,Rd stands for a design moment resistance of the analysed beam. The moment-rotation diagrams are shown in Fig. 10.2.6-10.2.16

    inline image in article

    \[ \textsf{\textit{\footnotesize{Fig. 10.2.6 Moment-rotation diagram for a bolted eaves moment joint (IPE330 to HEB200)}}}\]

    inline image in article

    \[ \textsf{\textit{\footnotesize{Fig. 10.2.7 Moment-rotation diagram for a bolted eaves moment joint (IPE330 to HEB220)}}}\]

    inline image in article

    \[ \textsf{\textit{\footnotesize{Fig. 10.2.8 Moment-rotation diagram for a bolted eaves moment joint (IPE330 to HEB240)}}}\]

    inline image in article

    \[ \textsf{\textit{\footnotesize{Fig. 10.2.9 Moment-rotation diagram for a bolted eaves moment joint (IPE330 to HEB260)}}}\]

    inline image in article

    \[ \textsf{\textit{\footnotesize{Fig. 10.2.10 Moment-rotation diagram for a bolted eaves moment joint (IPE330 to HEB280)}}}\]

    inline image in article

    \[ \textsf{\textit{\footnotesize{Fig. 10.2.11 Moment-rotation diagram for a bolted eaves moment joint (IPE330 to HEB300)}}}\]

    inline image in article

    \[ \textsf{\textit{\footnotesize{Fig. 10.2.12 Moment-rotation diagram for a bolted eaves moment joint (IPE330 to HEB320)}}}\]

    inline image in article

    \[ \textsf{\textit{\footnotesize{Fig. 10.2.13 Moment-rotation diagram for a bolted eaves moment joint (IPE330 to HEB340)}}}\]

    inline image in article

    \[ \textsf{\textit{\footnotesize{Fig. 10.2.14 Moment-rotation diagram for a bolted eaves moment joint (IPE330 to HEB360)}}}\]

    10.2.5 Benchmark case

    Inputs

    Beam and column

    • Steel S235
    • Column HEB200
    • Beam IPE330

    Weld

    • Flange weld throat thickness af = 8 mm
    • Web weld throat thickness aw = 5 mm

    End-plate

    • Thickness tp = 15 mm
    • Height hp = 450 mm
    • Width bp = 200 mm
    • Bolts M24 8.8
    • Bolts assembly in Fig. 10.2.1

    Column stiffeners

    • Thickness ts = 15 mm
    • Width bs = 95 mm
    • Related to beam flange, position upper and lower
    • Weld throat thickness as = 6 mm

    End-plate stiffener

    • Thickness tst = 10 mm
    • Height hst = 90 mm
    • Weld throat thickness ast = 5 mm

    Outputs

    • Load Mj,Ed = 2/3 Mj,Rd = 70 kNm
    • Secant rotational stiffness Sjs = 40 MNm/rad
    inline image in article

    \[ \textsf{\textit{\footnotesize{Fig. 10.2.17 Benchmark case for bolted eaves moment joint (IPE330 to HEB200)}}}\]

    File di esempio

    Prequalified joints for seismic applications

    Prequalified joints for seismic applications

    This is a selected chapter from book Component-based finite element design of steel connections by prof. Wald et al. The chapter is focused on verification of prequalified joints for seismic applications according to the EQUALJOINTS project.

    12.1 EQUALJOINTS project

    The European research project EQUALJOINTS provides prequalification criteria of steel joints for the next version of EN 1998-1. The research activity covered the standardization of design and manufacturing procedures for a set of bolted joint types and a welded reduced beam section with heavy profiles designed to meet different performance levels. There was also the development of a new loading protocol for European prequalification, representative of European seismic demand. The experimental campaign devoted to the cyclic characterization of both European mild carbon steel and high strength bolts achieved the required behavior for four types of pre-qualified joints: haunched bolted joints, unstiffened extended end plate bolted joints, stiffened extended end plate bolted joints, and welded reduced beam section joints; see Fig. 12.1.1. The results experimentally reached within the EQUALJOINJTS project are summarised in (Stratan et al. 2017) and (Tartaglia and D’Aniello, 2017).

    inline image in article

    Fig. 12.1.1 Structural joints prequalified in EQUALJOINTS project

    12.2 End plate joints

    The extended stiffened end plate bolted connections are most common among European steel fabricating industries and are widely used in European practice as moment-resistant joints in low and medium-rise steel frames thanks to the simplicity and the economy of fabrication and erection. The design criteria and related requirements for bolted extended stiffened end plate beam-to-column joints are deeply investigated and critically discussed and currently codified in EN 1998-1:2005 based on a parametric study based on finite element analyses. Unfortunately, capacity design procedure was developed only in the framework of component method. It also accounts for the presence of ribs and is able to control the joint response for different performance levels.

    Unstiffened extended end plate joints are commonly used in steel construction to connect steel I or H beam to steel I or H column in the case where significant bending moments have to be transferred. This configuration allows an easy erection by bolting while welding the end plate to the beam is automated in shop. The bending resistance of the connection is mostly lower than the bending resistance of the connected members. Therefore, such joints are considered as partial strength. Reaching an equal strength situation, in which the plastic resistance of the joint is roughly equal to the plastic resistance of the beam section, may be achieved through appropriate design. Their ductility in bending depends highly on the detailing of the joints, which influences the failure mode (Jaspart, 1997). If the joint component governing the failure is a ductile one, and if the resistance of the brittle active components is significantly higher, a ductile joint response may be reached. In the opposite case, no reliance should be made on the capacity of the joint to form plastic hinges and redistribute internal forces to absorb energy in a seismic area.

    For the welded reduced beam section moment resisting connections, also referred to as dog-bone, two main strategies were adopted by strengthening the connection or weakening the beam. Among these two options for the profile of section reduction, the radius cut tends to exhibit a relatively more ductile behavior, delaying the ultimate fracture (Jones et al. 2002). However, the work showed that reduced beam section members are more prone to lateral-torsional buckling due to the decreased area of their flanges. Further experimental and analytical research focusing on the application of deep columns (Zhang and Ricles, 2006) indicated that the presence of a composite floor slab may greatly reduce the amount of twisting developing in the column, as it offers bracing to the beam and reduces the lateral displacement of the bottom flange.

    According to the design procedure developed within the project EQUALJOINTS, the joint comprises three macro-components: the column web panel, the connection zone, and the beam zone; see Fig. 12.2.1. Each macro-component is individually designed according to specific assumptions, and then capacity design criteria are applied in order to obtain three different design objectives defined to assess the joint: full strength, equal strength, and partial strength joints. Full strength joints are designed to guarantee the formation of all plastic deformations into the beam, which is consistent with EN 1998-1:2005 strong column – weak beam capacity design rules. Equal strength joints are theoretically characterized by the contemporary yielding of all macro-components, i.e. connection, web panel, and beam. Partial strength joints are designed to develop the plastic deformation only in the connection or column web panel. According to the resistance of the connection and column web panel macro-components for both equal and partial strength joints, an additional classification can be introduced. For strong web panel, the plastic demand is concentrated in the connection for partial strength joint or in the connection and in the beam for equal strength joint. In balanced web panel, the plastic demand is distributed between the connection and the column web panel for partial strength joint and in the connection, web panel, and the beam for equal strength joint. For weak web panel, the plastic demand is concentrated in the column web panel for partial strength joint or in the web panel and in the beam for equal strength joint.

    inline image in article

    Fig. 12.2.1 Division of joint into macro components

    The joint ductility depends on the type of failure mode and the corresponding plastic deformation capacity of the activated component. Deformation capacity may be roughly predicted by satisfying the developed criteria for CM or more precisely calculated by CBFEM. The examples of design of two prequalified joint configurations described in EQUALJOINJTS project materials and in ANSI/AISC358-16 standard are presented below considering the behavior of macro components separately.

    12.2.1 Validation

    The CBFEM models of rigidity, load-bearing capacity, and deformation capacity of pre-qualified joints were validated by Montenegro (2017) on a set of experiments available from EQUALJOINT project. The examples of structural solutions are in Fig. 12.2.2. The results of validation of the failure mode are shown in Fig. 12.2.3. The summary of validation of resistance and deformation capacity for 15 % strain are shown in Figs 12.2.4 and 12.2.5.

    inline image in article

    Fig 12.2.2 Joints used for validation and verification a) EH2- TS-35-M and EH2-TS-45-M, b) ES1-TS-F-M and ES3-TS-F-M, c) E1-TS-E-M and E2-TS-E-M

    inline image in article

    Fig. 12.2.3 Validation of failure mode of CBFEM on the extended end plate joints with haunch E1-TS-F-C2 (Tartaglia and D’Aniello, 2017)

    inline image in article

    Fig.12.2.4 Validation of resistance of CBFEM on experiments from EQUALJOINTS project

    inline image in article

    Fig. 12.2.5 Validation of rotational capacity of CBFEM on experiments from EQUALJOINTS project

    12.2.2 Verification

    The CBFEM model was verified to CM according to Ch. 6 in EN 1993-1-8:2006. The selection of results is presented in Tab.12.2.1 and Fig 12.2.6. The results show the loss of accuracy of CM for larger joints, where the rough assumption of lever arm is guiding the accuracy.

    Tab. 12.2.1 Verification of CBFEM to CM

    Typology Resistance   
    #CMCBFEMCBFEM/CMDecisive component
     MR [kNm]MR [kNm] [%] 

      Haunched joint  
    EH2-TS35-M901,28891Endplate in bending
    EH2-TS45-M959,387510Endplate in bending
    4.2876,11 016−16Column flange in bending
    264545,4573−5Column flange in bending
    2671 998,92 100−5Endplate in bending

      Extended stiffened joint  
    ES1-TS-F-M547,55333Column flange in bending
    ES3-TS-F-M13891 920−27Column flange in bending

      Extended unstiffened joint  
    E1-TB-E-M347,8389−11Endplate in bending
    E2-TB-E-M577,0681−15Endplate in bending
    inline image in article

    Fig. 12.2.6 Verification of resistance of CBFEM to CM

    Three one-sided haunched joints are described in more detail in (Landolfo et al. 2017) and (Equaljoints application). The joints are loaded by both sagging and hogging bending moments and corresponding shear load. The column webs are reinforced by doublers, so the decisive components are T-stubs of either end plate or column flange. The axes of rotation are assumed at the center of the upper beam flange for sagging bending moment and in the middle of the haunch for hogging bending moment. The position of plastic hinge is assumed at the face of the stiffening plate at the end of the haunch. The bending moment at the column face used for check of the connection is increased by the corresponding shear load; see Fig. 12.2.7.

    inline image in article

    Fig. 12.2.7 Position of plastic hinge, course of bending moment in the haunched joint

    Tab. 12.2.2 Resistance of components by CM for haunched joints

    Resistance of components by CM#4.2 (IPE450
    to HEB340)
    #264 (IPE360
    to HEB280)
    #267 (IPE600
     to HEB500)
    Moment at plastic hinge [kNm]9065431869
    Shear load [kN]295148561
    Moment at column face [kNm]9815732105
    Haunch resistance [kNm]9565821903
    Shear acting on column web [kN]158110352447
    Column web in shear resistance [kN]163212032774
    T-stub - end plate - hogging moment [kNm]10195731999
    T-stub - end plate - sagging moment [kNm]10816972318
    T-stub - column flange - hogging moment [kNm]8765452015
    T-stub - column flange - sagging moment [kNm]9295802107

    The strain-hardening factor was chosen 1,2 as suggested by EN 1993-1-8:2006 and Equaljoints project final report (EN 1998-1:2005 suggests value 1,1). Overstrength factor was assumed 1,25 (Landolfo et al. 2017). All steel was grade S355. The resistances of individual components are summarized in Tab. 12.2.2. The checks in bold are failing. Note that haunch resistance is the plastic resistance of the beam section with the haunch at end plate. The strength of the beam is assumed increased by overstrength factor at the location of plastic hinge but not at the end plate. If the overstrength factor was used at the end plate as well, this resistance would be higher. Therefore, the next lowest resistance, the T-stub – end plate, was assumed to govern the joint resistance of joint No. 267. None of the investigated joints meets the requirement for full-strength joint. However, the resistance is very close, and the joints are equal-strength. The column web panel is in all cases strong.

    The governing failure mode by CBFEM is failure of bolts with yielding of plates, mainly end plate, column flange, and haunch. According to CBFEM, joints No. 4.2 and No. 264 are full-strength and joint No. 267 equal-strength. Column web panels are strong in all cases.

    inline image in article
    inline image in article

    Fig. 12.2.8 The strains at resistance for a) the whole joint, b) the macro-component bolted end-plate connection only c) the macro-component column web panel in shear with web doublers only, d) the macro-component beam only

    12.2.3 Unstiffened extended end-plate joints

    For sensitivity study, a prequalified unstiffened extended end-plate joint was selected. The beam IPE 450 is connected to column HEB 300 by an extended end plate 25 mm thick with twelve M30 10.9 bolts, with and without web doubler 10 mm thick. Steel grade S 355 was used for all plates. To determine the contribution of each macro component separately, the material diagram of the selected macro component was elastoplastic, while the rest of the joint was with only elastic material diagram. The strains at the resistance of the whole joint, the column web panel in shear with web doublers only, and the bolted end-plate connection only are compared to the beam macro-component only in Fig. 12.2.8. The influence of each macro-component on the behavior of the joint is presented in Fig. 12.2.9, where column web panel with and without web doublers is shown. The joint behavior shows higher resistance of the connection macro-component.

    inline image in article

    Fig. 12.2.9 Influence of macro-components, the column web panel with doublers in shear,
    the bolted end-plate connection and beam to the behavior of the whole joint

    12.2.4 Location of compression center

    For end-plate joints, EN 1993-1-8:2006 specifies that the compression center is located in the middle of the thickness of beam flange, or at the tip of the haunch in case of haunched joints. Experimental and numerical results showed that the location of compression center depends on both the joint type and the rotation demand due to the formation of plastic modes with different engagement of each joint component (Landolfo et al. 2017). According to the proposed CM design procedure and based on both experimental and numerical results, contact at about the centroid of the section made by the beam flange and the rib stiffeners is expected, for the stiffened endplate joints or at about 0,5 the haunch height in case of haunched joints. This rough assumption is précised by CBFEM procedure, which gives correct values during loading and initial yielding of parts of a joint.

    The presented results show the good accuracy of CBFEM verified to ROFEM validated to EQUALIJOINTS experiments and CM. It brings the possibility to consider the behavior of macro-components separately and the position of neutral axes accurately according to the loading/plastification.

    12.3 Welded reduced beam section joint


    A prequalified welded reduced beam section joint according to ANSI/AISC 358-16 was selected for this study. The beam IPE 450 is connected to column HEB 300 by butt welds at flanges and fin plate 12 mm thick with three preloaded M30 10.9 bolts, with and without web doubler 10 mm thick; see Fig. 12.3.1. All used steel is grade S355.

    The strains at the ultimate resistance of the whole joint and macro component column web panel in shear with web doublers only are shown in Fig. 12.3.2. The influence of each macro-component to the behavior of the joint is presented in Fig. 12.3.3, where column web panel with and without web doublers is shown. The joint shows that the resistances of the joint macro-components are well-optimized.

    inline image in article

    Fig. 12.3.1 Reduced beam section joint, a) beam with reduced section, b) the column web panel with doublers in shear, the bolted end plate connection,

    inline image in article

    Fig. 12.3.2 The strains at resistance for a) the whole joint and b) the macro component column web panel with doublers in shear only 

    inline image in article

    Fig. 12.3.3 Influence of macro-components on the behavior of the whole joint on M-φ diagram

    File di esempio

    References

    EN 1993-1-8, Eurocode 3, Design of steel structures – Part 1-8: Design of joints, CEN, Brussels, 2005.

    Jones S.L., Fry GT., Engelhardt M.D. Experimental evaluation of cyclically loaded reduced beam section moment connections. Journal of Structural Engineering. 128 (4), 441–451, 2002.

    Landolfo R. et al. Design of Steel Structures for Buildings in Seismic Areas, ECCS Eurocode Design Manual. Wiley, 2017.

    Stratan A., Maris C, Dubina D, and Neagu C. Experimental prequalification of bolted extended end plate beam to column connections with haunches. ce/papers, 1(2–3), 414–423, 2017.

    Tartaglia R, D’Aniello M. Nonlinear performance of extended stiffened end-plate bolted beam-to-column joints subjected to column removal. The Open Civil Engineering Journal Vol 11, Issue Suppl-1, 369–383, 2017.

    Zhang X., Ricles J.M. Experimental evaluation of reduced beam section connections to deep columns. Journal of Structural Engineering. 132 (3), 346-357, 2006.