Îmbinare cu placă de capăt extinsă cu moment încovoietor – ASD

Acest articol este disponibil și în:
Tradus de AI din engleză

Două grinzi cu secțiunea transversală W10\(\times\)26 sunt conectate între ele printr-o îmbinare cu placă de capăt extinsă cu moment încovoietor, cu patru șuruburi și rigidizare. Plăcile de capăt au grosimea de 1/2'' și sunt conectate prin 3 rânduri de șuruburi. Oțelul este de calitate A572 Gr. 50 (fy = 50 ksi, fu = 65 ksi), iar șuruburile sunt de 3/4'' calitate A325 (fyb =92 ksi, fub = 119.7 ksi). Îmbinarea este încărcată cu momentul încovoietor maxim determinat prin calcul manual folosind Design guide 16 și AISC 360-16. 

inline image in article

Secțiunea transversală a grinzii

inline image in article

Dimensiunile îmbinării cu placă de capăt

inline image in article

Model transparent cu dimensiunile elementului de lărgire și încărcarea aplicată

Calcul manual

Calculul manual este efectuat conform Design guide 16: Flush and Extended Multiple-Row Moment End-Plate Connections – Capitolul 4: Extended End-Plate Design și AISC 360-16 – Capitolul J. Sunt necesare următoarele verificări:

  • Rezistența șuruburilor la întindere – AISC 360-16 – J3.6
  • Curgerea plăcii de capăt – Design guide 16
  • Rezistența sudurilor – AISC 360-16 – J2.4

Se presupune că verificarea grinzilor este efectuată separat.

Rezistența la curgere a șuruburilor și a plăcii de capăt

Rezistența la întindere a șuruburilor

\[A_b = \frac{\pi d_b^2}{4} = \frac{\pi \cdot 0.75^2}{4} = 0.442 \,\textrm{in}^2 \]

\[P_t = R_n = F_n A_b = 90 \cdot 0.442 = 39.8 \,\textrm{kip}\]

Pretensionarea șurubului strâns la contact:

\[T_b = 0.5 \cdot 28 = 14 \,\textrm{kip}\]

Efectul de pârghie

Forțele de pârghie sunt determinate conform Design guide 16 – Tabelul 4-1:

Rândul interior de șuruburi:

\[a_i = 3.682 \left ( \frac{t_p}{d_b} \right )^3 - 0.085 = 3.682 \left( \frac{0.5}{0.75} \right)^3 - 0.085 = 1.006 \]

\[w' = b_p / 2 - (d_b + 1/16) = 5.787 / 2 - (0.75 + 1/16) = 2.081 \,\textrm{in} \]

\[F'_i = \frac{t_p^2 F_{py} \left ( 0.85 \frac{b_p}{2} + 0.80 w' \right ) + \frac{\pi d_b^3 F_t}{8}}{4 p_{f,i}} \]

\[F'_i = \frac{0.5^2 \cdot 50 \left ( 0.85 \cdot \frac{5.787}{2} + 0.80 \cdot 2.081 \right ) + \frac{\pi \cdot 0.75^3 \cdot 90}{8}}{4 \cdot 1.759} = 9.446 \]

\[Q_{max,i}= \frac{w' t_p^2}{4 a_i} \sqrt{F_{py}^2 -3 \left( \frac{F'_i}{w' t_p} \right)^2 } \]

\[Q_{max,i}= \frac{2.081 \cdot 0.5^2}{4 \cdot 1.006} \sqrt{50^2 -3 \cdot \left( \frac{9.446}{2.081 \cdot 0.5} \right)^2 }  = 6.137 \,\textrm{kip}\]

Rândul exterior de șuruburi:

\[a_o = 3.682 \left ( \frac{t_p}{d_b} \right )^3 - 0.085 = 3.682 \left( \frac{0.5}{0.75} \right)^3 - 0.085 = 1.006 \]

\[w' = b_p / 2 - (d_b + 1/16) = 5.787 / 2 - (0.75 + 1/16) = 2.081 \,\textrm{in} \]

\[F'_o = \frac{t_p^2 F_{py} \left ( 0.85 \frac{b_p}{2} + 0.80 w' \right ) + \frac{\pi d_b^3 F_t}{8}}{4 p_{f,o}} \]

\[F'_o = \frac{0.5^2 \cdot 50 \left ( 0.85 \cdot \frac{5.787}{2} + 0.80 \cdot 2.081 \right ) + \frac{\pi \cdot 0.75^3 \cdot 90}{8}}{4 \cdot 2} = 8.308 \]

\[Q_{max,i}= \frac{w' t_p^2}{4 a_o} \sqrt{F_{py}^2 -3 \left( \frac{F'_o}{w' t_p} \right)^2 } \]

\[Q_{max,i}= \frac{2.081 \cdot 0.5^2}{4 \cdot 1.006} \sqrt{50^2 -3 \cdot \left( \frac{8.308}{2.081 \cdot 0.5} \right)^2 }  = 6.212 \,\textrm{kip}\] 

Curgerea plăcii de capăt

\[s=\frac{1}{2} \sqrt{b_p g} = \frac{1}{2} \sqrt{5.787 \cdot 3.387} = 2.214 \,\textrm{in}\]

Dimensiunea s este mai mare decât dimensiunea de, prin urmare se aplică cazul 2.

inline image in article

Mecanismul de curgere al plăcii de capăt (Design guide 16)

\[Y = \frac{b_p}{2} \left[ h_1 \left( \frac{1}{p_{f,i}} + \frac{1}{s} \right) + h_o \left( \frac{1}{p_{f,o}} + \frac{1}{2s} \right) \right] + \frac{2}{g} [h_1 (p_{f,i}+s) + h_o (d_e + p_{f,o})]\]

\[Y = \frac{5.787}{2} \left[ 8.115 \left( \frac{1}{1.759} + \frac{1}{2.214} \right) + 12.315 \left( \frac{1}{2} + \frac{1}{2\cdot 2.214} \right) \right] + \frac{2}{3.387} [8.115 (1.759+2.214) + 12.315 (1.5 + 2)] = 94.310 \,\textrm{in}\]

\[\frac{M_n}{\Omega} = \frac{M_{pl}}{\Omega} = \frac{F_{py} t_p^2 Y}{\Omega} = \frac{50 0.5^2 \cdot 94.310}{1.67} = 705.911\,\textrm{kip-in}\]

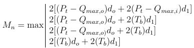
Ruperea șuruburilor cu efect de pârghie

inline image in article
inline image in article

\[\frac{M_n}{\Omega} =\frac{1342.4}{2} = 671.198 \,\textrm{kip}\]

Ruperea șuruburilor fără efect de pârghie

\[\frac{M_n}{\Omega} =\frac{2P_t(d_o+d_1)}{\Omega}\frac{2\cdot 39.8 \cdot (12.095+7.895)}{2} = 795.602 \,\textrm{kip}\]

Modul de cedare determinant este cel cu rezistența cea mai mică, respectiv ruperea șuruburilor cu efect de pârghie, \(\frac{M_n}{\Omega}=671.198 \,\textrm{kip}\).

Rezistența sudurilor

În calculul manual, se presupune că sudura eficace care transferă momentul încovoietor este o sudură în cruce alcătuită din sudura elementului de rigidizare la extensia plăcii de capăt (l = 3.5 in, w = 1/4''), sudura tălpii la placa de capăt (l = 5.787 in, w = 1/4'') și sudura porțiunii efective estimate a inimii la placa de capăt (l = 3.5 in, w= 1/4''). Centrul de greutate al acestei suduri în cruce se află convenabil la nivelul tălpii grinzii, astfel brațul de pârghie este de 9.874 in. Sudura în cruce trebuie să transfere forța Mu/9.874= 671/9.874 = 68 kip.

\[A_{we} = 1/4 \cdot 2\cdot (3.5+5.787+3.5) / \sqrt(2)=4.52\,\textrm{in}^2 \]

\[F_{nw} = 0.6 F_{EXX} (1+0.5 \sin^{1.5} \theta) = 0.6 \cdot 70 \cdot (1+0.5 \sin^{1.5} 40^\circ) = 53 \,\textrm{ksi} \]

\[R_n/\Omega = F_{nw} A_{we} / \Omega = 53 \cdot 4.52 / 2= 119.78 \,\textrm{kip}\]

Rezistența sudurilor este suficientă.

Rezistența sudurilor comprimate nu este verificată aici, deoarece se presupune că încărcările sunt transferate prin contact direct.

Verificarea în IDEA StatiCa

În IDEA StatiCa Connection, toate forțele de pârghie și liniile de curgere sunt determinate automat prin analiza cu Metoda Elementelor Finite. Forțele din șuruburi sunt afișate cu includerea forțelor de pârghie. Punctul de rotație este, de asemenea, calculat automat și nu necesită estimări. Toate sudurile sunt verificate și nu se presupune niciun transfer de forță prin contact. O alternativă ar fi setarea contactului sau a sudurii cap la cap în locul sudurii de colț.

inline image in article

Tensiunea Von Mises

inline image in article

Deformația plastică, încărcarea aplicată și forțele din șuruburi pe modelul deformat (scară 10\(\times\))

inline image in article

Detaliu al deformației plăcii de capăt (scară 20\(\times\))

inline image in article

Verificarea tensiunilor și deformațiilor în plăci

inline image in article

Verificarea șuruburilor

inline image in article

Verificarea sudurilor

Rigiditatea poate fi, de asemenea, evaluată cu ușurință în IDEA StatiCa Connection. Această îmbinare se află aproape de limita dintre rigid și semi-rigid. Limita depinde de lungimea grinzii conectate.

inline image in article

Rigiditatea rostului

Comparație

IDEA StatiCa Connection furnizează aceleași rezultate ca și calculul manual. Șuruburile sunt utilizate la 99,7%, plăcile de capăt curg, deformația plastică este de 1,8%, ceea ce înseamnă că modul de cedare prin curgerea plăcii de capăt este aproape atins. Forma deformată coincide cu deformația presupusă în Design Guide 16. Gradul de utilizare de 100% corespunde unui moment încovoietor de 673 kip-in (diferență de 0,3%).

Descărcări atașate