Lungimea de dezvoltare în IDEA StatiCa Detail (Unități US)

Acest articol este disponibil și în:
Tradus de AI din engleză
IDEA StatiCa Detail verifică betonul armat folosind CSFM. Verificarea conform codului include grade de utilizare a rezistenței, dintre care unul este o verificare a ancorajului care verifică lungimea de dezvoltare cerută de ACI. Acest articol explică cum să corelați rezultatele din Detail cu ACI 318-19, Capitolul 25.

Mai întâi, să definim ce este lungimea de dezvoltare și la ce se folosește practic: ACI 318-19 utilizează calculul lungimii de dezvoltare pentru a se asigura că armătura dezvoltă rezistența de calcul la o secțiune critică fără alunecare. Această lungime depinde de diametrul barei, tipul acesteia, rezistența betonului, acoperirea barei (de exemplu, epoxidică) și condițiile de confinare. Lungimea de dezvoltare este utilizată pentru a determina cât de departe trebuie să se extindă o bară de armătură într-un reazem sau o zonă de înnădire pentru a atinge capacitatea completă la întindere sau compresiune, conform proiectului. Cerințele sunt specificate în Capitolul 25 al ACI 318-19.

Secțiunea de comentarii ACI 318-19 R.25.4.1.1 explică faptul că „Conceptul lungimii de dezvoltare se bazează pe tensiunea medie de aderență realizabilă pe lungimea de înglobare a armăturii."

În IDEA StatiCa Detail, lungimea de dezvoltare nu este calculată explicit, dar tensiunile de aderență și rezistența la aderență sunt calculate direct prin Metoda Câmpului de Tensiuni Compatibil (CSFM). Articolul următor va ajuta la corelarea tensiunilor de aderență și a calculului forțelor cu lungimea de dezvoltare calculată conform ACI 318. 

Armătură complet dezvoltată cu cârlig

Vom explica exact cum funcționează lungimea de dezvoltare în aplicația IDEA StatiCa Detail folosind acest exemplu simplu. Vom examina o armătură selectată a unei grinzi orizontale care se termină într-un stâlp.

inline image in article

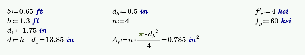
Grinda orizontală are o secțiune transversală dreptunghiulară cu dimensiunile 15 in x 8 in. Armătura analizată constă din 4 bare cu diametrul #4. Rezistența betonului și a oțelului, împreună cu alți parametri de intrare, sunt prezentate în figura următoare.

inline image in article

Din figură, se poate estima cu certitudine că armătura va fi complet dezvoltată la secțiunea critică a grinzii. Cu toate acestea, să verificăm acest lucru. Pentru cârligul standard, trebuie utilizat calculul din ACI 318-19 Secțiunea 25.4.3.1.

inline image in article

Valorile factorilor ψ sunt preluate din Tabelul 25.4.3.2 al ACI 318-19, cu valoarea cea mai nefavorabilă luată pentru ψr și ψo. Luăm în considerare acest lucru deoarece aplicația Detail nu poate determina acești factori în mod direct. Modelul este, prin urmare, configurat ca și cum acești doi factori ar fi întotdeauna cei mai nefavorabili. Acest aspect va fi discutat mai detaliat ulterior în articol.

Acum să vedem care ar trebui să fie capacitatea la moment a secțiunii critice a grinzii. O calculăm folosind o formulă simplă:

inline image in article

În aplicația Detail, am încărcat grinda în consolă cu o forță de 10 kip, situată la 6,2 ft față de secțiunea critică. Din rezultate, putem observa că modelul poate prelua doar 82,9% din încărcarea specificată; aceasta înseamnă că forța maximă aplicabilă este 0,829 x 10 = 8,29 kip. Capacitatea la moment determinată de aplicația Detail este, prin urmare, Mn = 8,29 x 6,2 = 51,4 kip-ft

inline image in article

Capacitatea de încărcare ușor crescută se datorează unui calcul mai precis al zonei comprimate la suprafața inferioară a grinzii și, prin urmare, distanța dintre rezultanta forțelor de compresiune și întindere este ușor mai mare decât cea obținută prin calculul cu formula.

Este, de asemenea, important că factorii ϕ, conform Capitolului 21 al ACI 318, sunt și vor fi luați în considerare ulterior în articol cu valoarea ϕ = 1,0.

Armătură parțial dezvoltată cu cârlig

Am descris acum o situație în general neambiguă și am verificat calculul atunci când este clar că armătura este complet dezvoltată. Dar ce se întâmplă dacă situația este la limită? Sau dacă lungimea de dezvoltare va fi insuficientă? În cele ce urmează, vom arăta cum poate gestiona aplicația IDEA StatiCa Detail o astfel de situație.

Din calculul anterior, știm că ldh, conform ACI 318-19 secțiunea 25.4.3.1, este de aproximativ 10 in. În exemplul următor, vom plasa, prin urmare, cârligul la o distanță mai mică de 10 in, și anume 4 in.

inline image in article

După calculul modelului, putem observa o scădere semnificativă a capacității de încărcare. Modelul poate prelua doar 49,3% din încărcare, ceea ce înseamnă că Mn = 4,93 x 6,2 = 30,6 kip-ft.

inline image in article

Aceasta se datorează în mod evident faptului că armătura nu este complet dezvoltată la secțiunea critică. Acum întrebarea este unde se afișează lungimea de dezvoltare pentru fiecare armătură în aplicație. Dacă ne uităm în fila Anchorage, găsim variabila Flim în panglică. 

inline image in article

Flim este forța limită (maximă) care poate fi transferată de armătură la un punct specific. În figură, putem observa cum se dezvoltă treptat până la valoarea maximă, care corespunde valorii As x fy. Distanța de la capătul armăturii până la valoarea maximă a Flim reprezintă, prin urmare, lungimea de dezvoltare. Dacă măsurăm această distanță direct în model, obținem aproximativ 11 in pentru acest caz (putem deduce din numărul de elemente finite, știind că armătura este înglobată 4 in în stâlp, ceea ce corespunde la 3 elemente finite). Lungimea de dezvoltare ldh calculată conform 25.4.3.1 este de aproximativ 10 in. Astfel, avem o bună concordanță. 

Vă rugăm să rețineți că cârligul nu este modelat direct prin elemente finite în aplicație, ci este introdus în model ca un arc special pentru a asigura dezvoltarea corectă a valorii Flim. Acesta este și motivul pentru care nu este redat în rezultatele de mai sus.

Putem observa, de asemenea, că Flim la secțiunea critică este 26,8 kip. Dacă înlocuim elementele As x fy cu Flim în formula de calcul a Mn, obținem capacitatea teoretică la moment, care corespunde rezultatului din aplicație.

inline image in article

Armătură parțial dezvoltată cu capăt drept

În exemplele anterioare, armătura era întotdeauna terminată cu un cârlig de 90°. Acum vom arăta cum arată situația dacă armătura este terminată fără cârlig (capăt drept). În acest caz, lungimea de dezvoltare se calculează conform ACI 318-19 secțiunea 25.4.2.3. În aplicația Detail, am lăsat lungimea de înglobare la 4 in, iar situația arată astfel:

inline image in article

Lungimea de dezvoltare a crescut rapid la mai mult decât dublul valorii, capacitatea de încărcare a modelului a scăzut la aproximativ jumătate față de modelul cu cârlig și la mai puțin de o treime față de modelul cu armătură complet dezvoltată.

Putem observa, de asemenea, că valoarea inițială a Flim este de aproximativ 30% din valoarea maximă pentru modelul cu cârlig și logic 0% pentru modelul cu capăt liber.

Concluzie (Rezumatul principiilor practice cheie):

Articolul demonstrează cum lungimea de dezvoltare, astfel cum este definită în ACI 318-19, este implementată și vizualizată practic în IDEA StatiCa Detail. Lungimea de dezvoltare reprezintă lungimea de înglobare necesară a armăturii pentru a-și atinge rezistența completă fără alunecare și depinde de mai mulți factori, cum ar fi geometria barei, rezistența betonului și tipul de ancoraj. Software-ul modelează acest comportament folosind variabila Flim, care arată cum se dezvoltă forța de-a lungul barei de armătură. Utilizatorii pot verifica direct dacă armătura este complet dezvoltată prin compararea lungimii de înglobare cu lungimea de dezvoltare necesară, derivată din prevederile ACI. Exemplele practice din articol arată că o dezvoltare insuficientă (de exemplu, înglobare mai scurtă sau absența unui cârlig) reduce semnificativ capacitatea de încărcare, ceea ce se reflectă cu acuratețe în rezultatele software-ului. Astfel, IDEA StatiCa Detail permite inginerilor să valideze eficiența ancorajului și să optimizeze proiectarea armăturii pe baza comportamentului real, îmbunătățind siguranța și conformitatea cu codul. 

Modelarea lungimii de dezvoltare se bazează direct pe rezistența la aderență. Fundamentul teoretic oferă o descriere a implementării.

Explicația prezentată în acest articol se aplică atât tipurilor de modele Detail 2D, cât și 3D.

Articole conexe

Metoda CSFM explicată