Placă la secțiune tubulară circulară

Acest articol este disponibil și în:
Tradus de AI din engleză
Acesta este un capitol selectat din cartea Component-based finite element design of steel connections de prof. Wald et al. Capitolul este axat pe verificarea îmbinării dintre o placă și o secțiune tubulară circulară.

Metoda modului de cedare

Îmbinările T uniplanare sudate placă-secțiune tubulară circulară, estimate prin CBFEM, sunt verificate față de FMM în acest capitol. În CBFEM, rezistența de calcul este limitată prin atingerea unei deformații de 5 % sau a unei forțe corespunzătoare unei deformații de 3 % d0 a îmbinării, unde d0 este diametrul tălpii. FMM se bazează pe limita de sarcină maximă sau pe limita de deformație de 3 % d0; a se vedea Lu et al. (1994). Sudurile, proiectate conform EN 1993‑1‑8:2006, nu sunt componentele cele mai slabe ale îmbinării.

Plastificarea tălpii

Rezistența de calcul a feței tălpii CHS este determinată folosind metoda dată de modelul FMM din Cap. 9 al prEN 1993-1-8:2020 și din ISO/FDIS 14346; a se vedea Fig. 7.3.1. Rezistența de calcul a îmbinării sudate placă-CHS încărcate axial este:

Îmbinare T

Transversală

\[ N_{1,Rd} = 2.5 \cdot C_f f_{y0} t_0^2 (1+3 \beta^2) \gamma^{0.35} Q_f / \gamma_{M5} \]

Longitudinală

\[ N_{1,Rd} = 7.1 \cdot C_f f_{y0} t_0^2 (1+0.4 \eta) Q_f / \gamma_{M5} \]

Îmbinare X

Transversală

\[ N_{1,Rd} = 2.1 \cdotC_f f_{y0} t_0^2 (1+3 \beta^2) \gamma^{0.25} Q_f / \gamma_{M5} \]

Longitudinală

\[ N_{1,Rd} = 3.5 \cdotC_f f_{y0} t_0^2 (1+0.4 \eta^2) \gamma^{0.1} Q_f / \gamma_{M5} \]

unde:

  • fy,i – limita de curgere a elementului i (i = 0,1,2 sau 3)
  • ti – grosimea peretelui elementului CHS i (i = 0,1,2 sau 3)
  • \(\beta\) – raportul dintre diametrul mediu sau lățimea elementelor diagonale și cel al tălpii
  • \(\eta\) – raportul dintre înălțimea elementului diagonal și diametrul sau lățimea tălpii
  • \(\gamma\) – raportul dintre lățimea sau diametrul tălpii și dublul grosimii peretelui său
  • Qf – factorul de tensiune al tălpii
  • Cf – factorul de material
  • \(\gamma_{M5}\) – factor parțial pentru rezistența îmbinărilor din grinzi cu zăbrele cu secțiuni tubulare
  • Ni,Rd – rezistența de calcul a unei îmbinări exprimată în termenii forței axiale interioare din elementul i (i = 0,1,2 sau 3)
inline image in article

\[ \textsf{\textit{\footnotesize{Fig. 7.3.1 Modul de cedare examinat - plastificarea tălpii}}}\]

Domeniu de valabilitate

CBFEM a fost verificat pentru îmbinări tipice ale secțiunilor tubulare circulare sudate. Domeniul de valabilitate pentru aceste îmbinări este definit în Tabelul 7.8 din prEN 1993-1-8:2020; a se vedea Tab. 7.3.1. Același domeniu de valabilitate se aplică modelului CBFEM. În afara domeniului de valabilitate al FMM, trebuie pregătit un experiment pentru validare sau efectuată o verificare conform unui model de cercetare validat.

Tab. 7.3.1 Domeniu de valabilitate pentru metoda modurilor de cedare

General\(0.2 \le \frac{d_i}{d_0} \le 1.0 \)\( \theta_i \ge 30^{\circ} \)\(-0.55 \le \frac{e}{d_0} \le 0.25 \)

\(g \ge t_1+t_2 \)\(f_{yi} \le f_{y0} \)\( t_i \le t_0 \)
TalpăCompresiuneClasa 1 sau 2 și \(10 \le d_0 / t_0 \le 50 \) (dar pentru îmbinări X: \( d_0/t_0 \le 40 \))

 Întindere\(10 \le d_0 / t_0 \le 50 \) (dar pentru îmbinări X: \( d_0/t_0 \le 40 \))
Placă transversală
\(0.25\le\beta=b_1/d_0\le1\)
Placă longitudinală
\(0.6\le\eta=h_1/d_0\le4 \)

Validare

În acest capitol, CBFEM este validat față de modelele FMM ale îmbinărilor T placă-CHS descrise în prEN 1993-1-8:2020. Modelele sunt comparate cu datele din testele mecanice din Tab. 7.3.2–7.3.3, cu rezistența bazată pe limita de deformație. Proprietățile de material și geometrice ale testelor numerice sunt descrise în (Voth A.P. și Packer A.J., 2010). Experimentele în afara domeniului de valabilitate sunt marcate în tabele cu asterisk * și indicate în grafic pentru a arăta calitatea condițiilor la limită.

Tab. 7.3.2 Proprietăți geometrice, proprietăți de material și rezistențele îmbinărilor din experimente și modele FMM pentru îmbinarea T transversală

IDReferință

d0

[mm]

t0

[mm]

h1

[mm]

h1/d0

[-]

d0/t0

[-]

fy0

[MPa]

TPT 1Washio et al. (1970)165,25,2115,60,731,8308,0
TPT 2Washio et al. (1970)165,25,2148,70,931,8308,0
TPT 3Washio et al. (1970)139,83,5125,80,939,9343,0
TPT 4Voth et al. (2012)219,24,5100,30,548,8388,8


ID

Nu,exp

[kN]

Tip ramurăNu,exp/(t02·fy0)N1,prEN/(t02·fy0)Nu,exp/N1,prEN
TPT 1169,4Compresiune20,3416,251,25
TPT 2250,5Compresiune30,0822,581,33
TPT 3184,8Compresiune43,9824,451,80
TPT 4282,5Întindere36,0412,452,89


Tab. 7.3.3 Proprietăți geometrice, proprietăți de material și rezistențele îmbinărilor din experimente și modele FMM pentru îmbinarea T longitudinală

IDReferință

d0

[mm]

t0

[mm]

h1

[mm]

h1/d0

[-]

d0/t0

[-]

fy0

[MPa]

TPL 1Washio et al. (1970)165,25,2165,21,031,8308,0
TPL 2Washio et al. (1970)165,25,2330,42,031,8308,0
*TPL 3Voth et al. (2012)219,24,599,90,548,8388,8


ID

Nu,exp

[kN]

Tip ramurăNu,exp/(t02·fy0)N1,prEN/(t02·fy0)Nu,exp/N1,prEN
TPL 1107,6Compresiune12,9210,361,25
TPL 2127,4Compresiune15,3013,321,15
*TPL 3160,6Întindere20,498,752,34
inline image in article

\[ \textsf{\textit{\footnotesize{ Fig. 7.3.2 Validarea FMM față de experimentele mecanice pentru îmbinări T transversale placă-CHS (stânga) și pentru îmbinări T longitudinale placă-CHS (dreapta)}}}\]

inline image in article

\[ \textsf{\textit{\footnotesize{Fig. 7.3.3 Validarea FMM față de experimentele mecanice pentru îmbinări T transversale placă-CHS (stânga) și îmbinări T longitudinale placă-CHS (dreapta)}}}\]

Validarea prezentată în Fig. 7.3.2 și 7.3.3 demonstrează că diferențele față de experimente sunt de cel puțin 15 % în general, pe partea sigură. Experimentele în afara domeniului de valabilitate sunt incluse și marcate. Rezultatele indică calitatea bună a condițiilor la limită alese.

Îmbinare T uniplanară placă

O prezentare generală a exemplelor considerate în studiu este dată în Tab. 7.3.4. Cazurile selectate acoperă o gamă largă de rapoarte geometrice ale îmbinărilor. Geometria îmbinărilor cu dimensiuni este prezentată în Fig. 7.3.4. Grosimea plăcii este de 15 mm în toate cazurile acoperite în acest studiu.

Tab. 7.3.4 Prezentare generală a exemplelor

inline image in article
inline image in article
inline image in article

\[ \textsf{\textit{\footnotesize{Fig. 7.3.4 Dimensiunile îmbinării T placă-CHS, transversală (stânga) și longitudinală (dreapta)}}}\]

Verificare

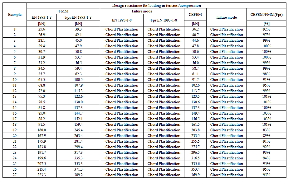
Rezultatele rezistenței și ale modului de cedare de calcul din FMM sunt comparate cu rezultatele CBFEM în Tab. 7.3.5 și în Fig. 7.3.5.

Tab. 7.3.5 Verificarea predicției rezistențelor prin CBFEM față de FMM a) orientare transversală  b) orientare longitudinală

inline image in article
inline image in article

Studiul arată o concordanță bună pentru cazurile de încărcare aplicate. Rezultatele sunt rezumate în diagrame care compară rezistențele de calcul ale CBFEM și FMM; a se vedea Fig. 7.3.5. Rezultatele arată că diferența dintre cele două metode de calcul este în toate cazurile mai mică de 7 %.

inline image in article
inline image in article
inline image in article
inline image in article

\[ \textsf{\textit{\footnotesize{Fig. 7.3.5 Verificarea CBFEM față de FMM pentru îmbinarea T uniplanară placă-CHS}}}\]

Exemplu de referință

Date de intrare

Talpă

  • Oțel S355
  • Secțiune CHS219.1/5,0

Ramură

  • Oțel S355
  • Placă 95/15 mm
  • Unghi între elementul ramură și talpă 90° (transversal)

Sudură

  • Sudură cap la cap în jurul ramurii

Încărcare

  • Prin forță pe ramură la compresiune

Dimensiunea plasei

  • 64 elemente de-a lungul suprafeței elementului tubular circular

Date de ieșire

  • Rezistența de calcul la compresiune este NRd = 45,2 kN
  • Modul de cedare de calcul este forfecarea prin poansonare
inline image in article

\[ \textsf{\textit{\footnotesize{Fig. 7.3.6 Condiții la limită pentru îmbinarea T uniplanară placă-CHS}}}\]